TALAJTAN
Talaj és Kémia valamint Megismerhetőség és Fenntarthatóság
Az ország, amely
tönkreteszi a földjét, önmagát teszi tönkre.
Franklin
Delano Roosevelt
Tartalom:
I.) Problémák
II.) Okozóik
III.) Kutatások (és haszontalanságok)
IV.) Eredmények (ha úgy vesszük…)
A.)
Ásványi-alkotók, nyomelem-ellátottság
1.)
Egy hazai feltárás tanulságai
2.)
Elemzés: metodikák és minta-feltárás
3.)
Az alakító-tényezők
4.)
Térképek és tanulságok
5.)
Összevetések
6.)
Denudáció: avagy a valós-helyzet virtualitása
B.)
Szerves-anyag tartalom, funkciók
1.)
Átnézeti Tabló
2.)
Próbakő
3.)
További mankók
4.)
Értelmezési segédletek
5.)
Keláció égre-földre
C.)
A bőségszaru (áttekinthetetlen)
kínálata: a HUMUSZ
1.)
Belépés a Humusz
birodalmába
2.) Állandóság
(és irányítottság) a random-változások
birodalmában
3.) A
humusz „állandósága”
4.) Borító
és stabilizáló tényezők
5.) A
dolgok (végletes) kiszámíthatatlansága
V.) Megoldások
Aki
tudja mi is ez, emelje fel a kezét. Nem úgy ahogyan a pisztolycső előtt szokás,
hanem jelezni: vannak erről fogalmai.
Nekem,
ránézésre, bevallom, mindössze annyit mutat hogy összetett-szó: Talaj
+ tan. A magyar nyelv, a maga szépséges alkotó-tömörségével azt kívánja
sugallni e szóösszetétellel, hogy ez valami tanításféle, bölcsességek-halmaza a
talajról. Lehetséges. A jelenlegi kínálat által felvonultatott erről-szóló 128 millió monográfiát azonban nem vállalhatom
áttanulmányozni az egybehangzás tesztelése végett. Pedig, valami effélére ma
nagyon is szükség lenne. Tele vagyunk problémákkal ugyanis, s maradjunk
egyelőre itt csupán a talajokat
érintőeknél.
Emiatt-e vagy sem, gomba-módra szaporodnak a „talajtani-szakemberek”. Most azzal hogy ez
mennyire egészséges folyamat, egyelőre ne foglalkozzunk. Vizsgáljuk meg inkább
azt, hogy ezáltal alkalmasint visszaszorulásra kényszeríthetőek-e a talajokkal
az utóbbi időkben előállott jelentős problémák? Hoztak-e a talajtani-kutatások
olyan eredményeket amelyek alkalmasak az orvoslásra?
Messziről kell
induljak ahhoz, hogy a táj teljességéről is legyen némi képünk. De el fogom
vezetni az Olvasót oda, hogy lássa
azt amit 1 millió publikáció is
inkább csak elfed – miközben nem lelhető egyetlen olyan sem, amely a
végeérhetetlen mellébeszélő halandzsán vagy az önmagát is értelmezni képtelen szőrszálhasogatáson túl, ha megközelítőleg is,
de a lényeget feltárná ezekről:
·
Mi a helyzet a „nyomelem-fronton”?
·
Van-e egy adott elemből a talajban elég?
·
Pótlandó-e avagy káros?
·
Felszívódik-e, és azt mi vezérli?
·
Mi lenne hát a helyes teendő?
Bontsuk hát az analízishez a
vizsgálatainkat emígyen:
Problémák –
Okozóik – Kutatások – Eredmények – Megoldások
I.) Problémák:
1)
Csökkenő termőerő
2)
Csökkenő humusztartalom
3)
Romló talaj-vízháztartás
4)
Romló szerkezet
5)
Növekvő sótartalom/ionerősség
6)
Szikesedés, sivatagosodás
7)
Erózió
8)
Megbolyduló talajélet, felborított anyag-háztartás
9)
Élő- és talaj-vizekre gyakorolt negatív
(elszennyező) hatások
10)
Romló össz-vízháztartási mérleg
Odáig már
többen is eljutottak hogy felismerjék: 2.) és 5.) következménye az
összes többire kihatással van. A dolgok azonban keresztül-kasul hatnak
egymásra: az egyik érdekében kezdeményezett beavatkozás ill. végrehajtott
változtatás azonnali ill. kikerülhetetlen következményekkel jár majdnem az
összes többi tényezőre nézve. Emiatt, felelőtlen, és gyakran végzetes károkhoz
vezethet az ad hoc ötletelés nyomán
meglóduló (rendszerint
mindössze gazdasági-preferenciákhoz kötődő) talaj-beavatkozási
tevékenység. Nézzük hát kissé közelebbről ezek összebogozódó összefüggéseit.
II.) Okozóik (összefügéseikben):
A) 1)
amiatt áll elő mert
i)
Nincs (minőségi) visszapótlás
[csak humusz-felélő
gyakorlat].
ii)
Ha mégis van visszapótlás, az egyoldalú,
aránytalan, és minőségében messze-nem optimális: ez a műtrágya [anorganikum] Ekkor
ugyanis 5)-öt támogató/előidéző procedúrákkal élnek. Ennek hatásai:
·
A magas sótartalom összeomlasztja a
talaj-kolloid struktúrát [] 4)].
·
Ami által a humusz-anyag kimosódása
megkönnyítetté válik [] 7), ]
2)].
·
Ezen humusz-vesztéssel a talaj
víz-megtartóképessége jelentősen romlik []
3)],
ami szélsőségekhez vezet. Aminek a „kivédésére” ezekkel élnek:
o A
humusz-szegény talaj gyengébb vízmegtartó-képességéből adódó időnkénti „fölös”
víz ki-és el-vezetése [] 10)]. (Ami abszolút-értelemben
növeli a tartós
vízhiányt.)
o Valamint
„öntözéssel” [ld. C)] – ami (ha föld-alól vett) tovább súlyosbítja a vízháztartási-negatívumot
[]
10)].
·
Mondani se kell: az előálló humusz-vesztés
következménye további termőerő-csökkenést hoz: ]
1).
(A beavatkozás tehát
javítás helyett súlyosbította 1) állapotát)
·
A szervetlen sók általi kation-bőség pedig addig
is jelentős-mértékben blokkolja a humusz kelációs-helyeit: ezáltal a humusz
által szabályozott fém-ion forgalom bénul/torzul []
8)].
·
A műtrágyák több ionjának [a jó víz-oldékonyságból
adódóan] nagy a mobilitása, azaz [esővel, öntözővízzel] könnyen/gyorsan mozog
a talajban lefele.
o Kicsi
ezáltal a célzott hasznosulás %-a [gazdasági-veszteség, pazarlás].
o Jelentős
viszont ezáltal a feldúsulásuk a föld-alatti vizekben []
9)].
Műtrágyázásra
tehát amiatt kerítenek (átgondolatlanul) sort, mert 2) fogyása következtében 1)-t
korrigálni kell. Egyetlen tényező [amúgy gazdaságilag
veszteséges] „korrigálásával” pedig sikerült borítani 8 másik tényezőt. Akár gyakorlat akár
tudomány sugallja e beavatkozást, egyformám kárhozatos, száműzendő.
B) Ezekhez
járul még az iszonyatos mértékű szántásos „talajművelés”:
i)
a szántásokkal 2) negatívuma tovább
fokozódik,
·
Hiszen a talajforgatás közvetlenül, önmagában is
csökkenti a humusztartalmat, a fokozódó (humu
sz-égető) talajlégzéssel []
2)].
·
A forgatás kedvezőtlenül hat a körülményeikhez
beállt mikroorganizmus-populációra is []
8),
]
1)]].
·
1) súlyosbodásával pedig kényszerűen
belép A) műtrágyázási-gyakorlata (minden fentebb-sorolt következményével).
·
A forgatással levegőssé tett talaj
vízveszteségei növekvők [] 10)].
·
A forgatás által „mezítelenné” váló talaj
hőmérsékletileg is szélsőségesebbé válik.
·
A forgatás felszín-közelbe hozza a lentebb
elfekvő gyom-magvakat, ami azután kemikáliákért kiált. [Ami potenciálisan 9)
irányába vezet, kiváltképp C) erőltetése mellett.]
ii)
a munkagépek sűrű járása következtében az
általuk okozott tömörödéssel 4) még-tovább romlik.
C) A
korrigálásra bevezetett nagybani-öntözés várt előnyös hatásai
i)
A)ii) gyakorlata miatt nem érvényesülhetnek:
ugyanis a műtrágyázás következményeiből fakadó
(talajt és
föld-alatti vízbázist érintő) károk felülmúlják az időleges (és látszólagos)
előnyöket.
ii)
Viszont rásegítenek az erózióra []
7)]
és a szikesedésre [] 6)]. (Hiszen a föld-alól vett vizek
só-tartalma lényegesen nagyobb akár a folyóvízénél, akár az esőnél.)
iii)
Az (összefolyásokból előálló) eseti túl-öntözöttségből adódó iszapolódással
tovább rontva 4)-en.
iv)
Végső-soron „szakadás”[1]
kialakulásához vezethet: csontszáraz köztes talajréteg alakul ki szendvics-szerűen
[]
10)],
a vízzel-öntözött felszíni és a mélységi talajvizes réteg között – annak minden
káros következményével.
D) 9)-ért
pedig alapvetően 5) előidézői a felelősek: a műtrágyák [amik menteni lettek volna hivatottak 1)-t],
valamint a nitráttá és foszfáttá oxidált szennyvizek [amik a legértékesebb biomassza
megsemmisítése végproduktumai; az így elvesztegetett biomassza előnyös
talaj-építő és karbantartó hatásait azután az anorganikus műtrágyákkal kísérlik
meg pótolni], amire C) azután „rásegít”.
…Távolról sem
törekedtem a felsorolás teljességre, inkább az összefüggések egymásra-utaltságát
kívántam szemléltetni…
III.) Kutatások (és
haszontalanságok):
Itt az a helyzet,
mint a fentebb már említett „128 millió monográfiával”.
Bemutatásul,
hogy mit is nyerhet az aki átnyálazná a milliónyi oldalakat, csupán néhány
reprezentatív elemmel próbálom szemléltetni az általuk már lespulnizott „Ariadné fonalát”.
A gombolyag-választásom esetlegességéért a terhet közösen kell viseljük: Az MTA-nak 2017. decemberében bekínált
írásaim véleményezésében[2]
akaratlanul részt kapott 3 személy* [ld. 1. Táblázat] publikációiból csemegézünk.
* Levelem (az irat-áttolási
protokoll végén) az MTA Föltudományok
osztályára került, s onnan érkezett a válasz. Ez az MTA X. osztálya,
ahol 24 akadémikus (mellettük 5 levelezőtag, +12 külső és 20 tiszteletbeli) valamint 106 MTA-doktor
[ahol ennyi a
doktor ott súlyos lehet a baj] adja képessége
maximumát.
A majd
napvilágra bukkanó dicsfény vagy ódium szétporciózása tehát nem személyeskedő
indíttatású kíván lenni, hanem egy általánosabb tudomány-állapoti tükröt tart a beletekintő felé.
1. Táblázat (2021. februári állapotok szerint)
Nézzük, fentiek miben is
jeleskednek:
Burján Balázs: 2002-ben
született disszertációja [„A
Pesti-síkság fiatal-harmadidőszaki és negyedidőszaki kavicsképződményeinek
összehasonlító vizsgálata” címmel, és ehhez passzoló 133 oldalas
tartalommal] letölthető az SZTE
Doktori Repozitóriumból[3].
Senkitől sem megvonva a dolgozatban elmélyedés örömeit, az Összefoglalásból [p115] idéznék itt: „A Pesti-síkság
fiatal-harmadidőszaki és negyedidőszaki kavicsos-homokos összleteinek
fejlődéstörténetével kapcsolatban a kutatók között egységes álláspont máig nem alakult ki.”
– Annak kiolvasása a sorokból, hogy a helyzeten ez a dolgozat sem változtatott, viszont már tényleges beleolvasást
kíván.
S hogy mi további fontos búvárkodással bővíti e titkári bástya mögül a
tudás-házát, arról fogalmat adhatnak legújabb dolgozatai: 2018-ban „A Nyugati pályaudvar építő-
és díszítőkövei”; 2016‑ban „Az Akadémia székházához felhasznált kőzetek” munkákkal
vívhatta ki környezete szenzáció-éhségét.
Bozó László:
Mivel az illető fő működési-területe a meteorológia, így bátor ugrásnak
kell tekintenünk az alábbi témában a részvételét. Nem állíthatjuk
bizonyossággal hogy az alább kiemelt részletek mögött ő áll teljes
mellszélességgel. [Nehézkes
lenne kideríteni, persze, azt is ha netán holt-verseny lenne a szerzők között –
s hogy ebben az esetben vajon melyikük vállalná be a kategóriában a nyerést?]
Az viszont nem tagadható, hogy a sorokhoz minden szerző adta a nevét. [Ez a szép a
koprodukcióban.]
A cikk: A
víztudományok szerepe a fenntarthatóságban[4],
szerzői: Báldi András,
Sugár Éva, Bozó László, Engloner
Attila, Józsa János, Németh Tamás, Szűcs
Péter, Vörös Lajos.
1.) Az Összefoglalásból
ezt emelném ki: „A tudomány és az innováció találkozása az
alapvető társadalmi
elvárásokkal további
kiemelt témákra világít rá: az új típusú szennyező anyagok, például a
gyógyszermaradványok* és
mikroműanyagok; a nagy tavak – kiemelten a Balaton – ökológiai egyensúlya**; az öntözés***; illetve a
fenntarthatóságot támogató „okos” eszközök alkalmazási lehetőségeinek a
kutatása.”
Ezen ürességtől kongó mondattal találkozva, nekem meg az lenne az innovatív javaslatom a tudomány fenti képviselői felé, hogy
kíséreljenek megfelelni végre annak a társadalmi
elvárásnak, hogy problémákra történő rávilágítások
rövid szüneteiben legalább ismerkedjenek a már rendelkezésre álló megoldásokkal
– amik ugyan mások eredményei, ám tálcán kínáltatnak: megismerésre,
megvalósításra.
Összecsengésül az idézetben említett [megcsillagozott] tételekre:
* Drogok:
ártalmatlanítás; Öngól,
MINDENÁRON
** Bili-Balaton
*** Terv-javaslat
2.) A cikk sorai mentén haladva, szembeszökő az a jellegzetesen
akadémiai-látásmód, amely a megoldások helyett az állandósuló kutatásokba óhajt
menekülni. Kutatni folyton-folyvást, minden elképzelhetőt (és ott azután rettentő szárnyakat
növesztenek – ha már ötleteknek végzetesen híján vannak), miként e
kiemelés is példázza:
„A tó ismételt algásodása
katasztrofális hatással lehet a fejlődő turizmusra, a
drága infrastukturális beruházások hasznosulására, és fennáll a jelenség
megismétlődésének lehetősége. [Tudjuk.
Ld. Bili-Balaton
1. és 2. lábjegyzeteit.] Egyetlen lehetséges megoldás: az intenzív,
multidiszciplináris Balaton-kutatás sürgős újraindítása, a tavi ökoszisztéma kulcsfontosságú
elemei működésének részletekbe menő megismerése. Meg kell ismerni a meteorológiai
viszonyok, a hőmérséklet, a szél, a felkeveredés hatását a víz-üledék közötti
kölcsönhatásokra. Mérni kell az üledékben zajló mikrobiális folyamatok intenzitását a
redoxfolyamatok függvényében, a tó vizében lebegő és az üledék felszínén élő
egysejtű algák szerepét a tavi anyagforgalomban. A kutatást ki kell terjeszteni a tó
vízgyűjtőjére, hiszen a tó állapotát hosszú távon a vízgyűjtő terület történései
határozzák meg.”
ÉS
AZUTÁN? Mert az már régóta
nem titok hogy az algásodásban manifesztálódó eutrofizáció mögött a Tó
foszfortartalma áll. Amit nagy-ügyesen belevezettek, anno. S azóta hiába
csökkent a foszfor-input, hiába lettek a szennyvizek kerülő-úton elterelve [megyényi területet téve
ezáltal ismét tönkre: OVF-jelentés].
Mert ami foszfor a Tóban van (vízben és fenékiszapban), az mindaddig
determinálja a Tó állapotát amíg változás nem esik rajta. Azt
pedig nem a négy-világtájra kiterjedő kutatgatás, hanem csakis a célzott és
effektív kitermelés hozhatja magával. [Úgymint: lepel-iszap kotrás; tudatos halászat intenzív és kérkedő
hal-betelepítések helyett; folyamatos nádtömeg-aratás…]
A „Kutatás” a fentieken semmin
nem változtat. (Viszont
– aszkétikussá személytelenítve és a Haladás
szent-nevére mutogatva – rengeteg pénzre ácsingózik, újabb drága műszerparkokat
kíván, cserébe használhatatlan publikációkkal traktál, melyek által az
embrionális doktor-tantuszokból újabb felfújt hólyagok születnek.)
3.) Figyeljük meg, mind a konkrétumát mind a tudományos-mélységét
ennek az útbaigazításnak: „A vízhiányos
területeken a talaj nedvességének megőrzését elősegítő talajművelés* (agrotechnika) alkalmazása segíthet. A
természetes vízpótlást az öntözés** egészítheti ki.”
Nehéz lenne megvédeni azt az állítást, hogy az idézett közlés nélkül
erre senki nem jött volna rá. S adnak hozzá valami fogódzót? Nem, mert egyelőre
töksötétben vannak; de majd a „kutatások”
után… Ráadásul mellé is fognak, már itt, éspedig Öszödi-mértékkel. Amit ők öntözésen értenek (víz-kivéttel a
föld-alól), annál kevés károsabb dolog van. Akik viszont ezekről már most
szeretnének valami konkrétabbat, azoknak ajánlom:
* II.)B) alattiak mellett: TMMG
** II.)C) alattiakon túl: ref.1 megjelölt helyén.
4.) S íme, a végső arzenál: „A
fenntarthatóságot támogató „okos” eszközök és módszerek”. Benne: szenzorika, adat-átvitel és -feldolgozás,
ezekkel megspékeltve: big data, adat-felhő, deep learning, mesterséges-intelligencia,
adat-bányászat,
egyre
okosabbra épített szenzorok-kal teleaggatott víz alatt tájékozódni és közlekedni képes robotúszóművek…
Mert azokkal tuti eljön a Kánaán (?!?).
Szűcs Péter:
A Felszín alatti vizek – A hidrológiai ciklus láthatatlan része[5]
címmel jelzett tartalom nemcsak ígéretes, de a szerző fő-profiljába is vág.
Érdemes hát megszondáznunk:
1.) „Bonyolítja a
helyzetet, hogy a termálvizek a
Kárpát-medencében sok helyen hidraulikailag
összefüggenek az ivóvíz-termelésre használt rétegekkel.”
(p1188)
·
Jó lenne ezt nagyfokú odafigyeléssel szem-előtt
tartani, mindenféle intenzifikálás meglépése előtt. S dönteni helyesen:
ivóvíz-biztonság, vagy turisztikai-bevételt növelő wellness-dagonyázás?
·
De lehetne azt is észlelni, hogy az ivóvíz
biztosítható az esővízből is: s
ezzel máris belecsöppentünk a negligált Vízgazda-rendszer egyik
alap-elemébe.[6]
2.) „Vízgazdálkodási
szempontból elfogadhatatlan,
hogy az évi kb. 50 millió m3-nyi energetikai célú hévíztermelés
mellett jelenleg csak kb. 4 millió m3-t sajtolnak vissza a felszín
alá. A lehűlt, sokszor igen magas
sótartalmú vizek eddig
felszíni befogadókba kerülve okoztak jelentős
környezetterhelést, illetve a
felszíni vízfolyásokon keresztül elhagyták az
országot.” (p1189)
Bizony, ez nagyon fontos szempont. A termálvizek elengedése (folyókkal,
határainkon túlra) további tényező a hazai vízmérleg romlásában; felszíni-elöntésük pedig hatalmas
léptekkel mozdítják elő a talajok nem-kívánt szikesedését.
A zajló gyakorlatokra oda-nemfigyelés egyik elrettentő
példája a fólia-sátraiban és üvegházaiban év-hosszon át „primőröket” termelő
Szegedi Floratom Kft. működése. A cég
a fűtésre-használt termálvizét egy sokféle szennyezéssel már korábban
tönkretett, lefolyástalan Holt-Tisza ágba
vezeti, praktikusan meghiúsítva ezáltal az ott elindítandó
meder-rehabilitációt.
A helyzet
fonákságához tartozó részletek tovább növelik az eset pikantériáját: Engedélyük
speciális, a szennyezőkre vonatkozó megengedett kibocsátási-értékek maximumát
többszörösen is felülmúló. Többek között 600 mg/l KOI értékű elfolyó-víz felszíni-vízbe bocsátására van papírjuk[7] – amely KOI
érték a tisztítatlan-szennyvizekre jellemző. De, túl ezen, az is megállapítást
nyert (felhívásra, utólag), hogy az elbocsátott termálvízbe a cég belevezette a
kommunális használtvizét is [hogy értse
mindenki: szarral és húggyal együtt], s e mindennapi-gyakorlat is retorzió
nélkül ment.
3.) „Az
aszály–belvíz–öntözővíz–vizes élőhely problémakör Magyarországon tartósan nem oldható meg a felszín alatti vízrendszerek figyelembevétele nélkül. A mezőgazdaság számára kiemelkedő fontosságú, hogy a
telítetlen közeg vízforgalmi és
vízraktározási viszonyait még pontosabban meg tudjuk határozni.”
(p1190)
A „felszín alatti vízrendszerek figyelembevétele” helyett azok FELTÖLTÉSÉVEL kellene foglalkozni. Ami pedig
éppenséggel nem kutatás tárgya, hanem elkötelezett hozzáállással megvalósítandó
teendő. [Erre mutató
célzattal született meg a Terv-javaslat
is – a VGT3-at megelőző JVK anyag hibáira is rámutatva.]
– Ami, ha megvalósul, azután invariábilisan adja a mezőgazdaság szempontjából
meghatározó „vízforgalmi és
vízraktározási viszonyokat” – megintcsak a kutatás díszes palástja méltóságteli
mutogatása nélkül.
4.) „a túlságosan
sok, szennyvíztisztító nélküli kistelepülés miatt ún. szennyvíz-hidrogeológiai
kérdésekkel is egyre többet kell foglalkozniuk a szakembereknek.” (p1192)
Jellemző a mai állapotokra, hogy ha egy szakma valami alapvetőt a kutya-úristennek sem ért meg (képesség és
szándék ötvözetéből eredően), arra mégis nagy léleknyugalommal alapozza önálló
építményeit egy másik szakma. A szakma-hierarchia
eme tornyos kártyavárát egyedül az tartja meg, ha oda külső információ
fuvallata beérkezése is tiltott. Így építhet a szennyvíz-szakma hamis téziseire
a szennyvíz-hidrogeológia – s
borítékolható hogy a sor itt sem fog megállni…[Korábbi intésem efelől: nyomul a Balneonumizmatika.[8]]
5.) „a publikációs
tevékenység és ezáltal a sok esetben nemzetközi együttműködésben megvalósuló
hazai hidrogeológiai kutatások
nemzetközi láthatósága és ismertsége egyre növekszik.”
[2001-5 évek alatt 529,
míg 2011-15 között már 1237 publikáció] (p1194)
És akkor mi van? Nothing begets nothing.
A
Mindent a kosárba csak hogy többnek
látsszon mozgatórugója észlelhető ott, ahol a „tájszemléletű
vízgazdálkodás” sűrű emlegetése mellett kilométer-hosszúságú jogi-hadova
minősül tudományos szakcikké.[9]
Kell-e mondanom, hogy az egésznek semmi köze ahhoz, hogyan is gazdálkodna a táj
a vízzel? Az ellopott szóhasználat[10]
olyannyira visszaélés-szerű, mintha csak Haynau
Szeretet-otthonról beszélnénk.
IV.) Eredmények (ha úgy
vesszük):
Ha
most – célirányosan – eltekintünk a meddő, haszontalan, öncélú publikációktól,
és az eredmények felé tapogatózunk, akkor két kapaszkodón kellene minél jobb
fogást találnunk:
·
a talaj ásványi-alkotói
verzatilitása megismerésén,
·
és az azokhoz kötődő szervesanyag-tartalom sajátosságain.
Ugyanis a talaj további két
vitális komponense jelenlevő-arányai ezek függvényében már determináltak,
egyébként pedig adottak. Merthogy:
·
az oxigén,
nitrogén, és CO2 korlátlanul rendelkezésre áll a talajjal érintkező
levegőből,
·
a vízhez
pedig primer-módon a helyes/okszerű vízgazdálkodás hivatott a hozzáférést
biztosítani.
Mindezeket
(mennyiségi-szempontból) igen tömören érzékelteti az 1. ábra:
A) a teljes talaj (térfogat%); B) a szilárd fázis (tömeg%). [forrás: ref.24 p46]
Külön figyelmet érdemel a
mennyiségileg súlytalannak mutatkozó szervesanyag-tartalom (organic matter+biota), amely a 97%-nyi ásványi-anyag (minerals) hányad [mint elfekvő forrás]
számára a voltaképpeni „kapu” [hogy ezen át, onnan a táp-
és nyom-elemek forgalomba kerülhessenek], és egyben fáradhatatlan „napszámos” [hogy helyes-irányba
közlekedjen az éppen-kívánatos ásványi-komponens]. Amelynek a szimpla
léte a biztosíték arra, hogy a (növényi) élővilág a különféle (nyom)elemeket
felvehesse.
A.)
Ásványi-alkotók, nyomelem-ellátottság
A
talaj ásványi-alkotói verzatilitása
tekintetében egy hatalmas monográfia[11]
ezekkel az útmutatásokkal lát el: „Manapság egyre
nagyobb figyelem fordul az ipari tevékenység folytán a környezetben
„szennyezésként” megjelenő nyomelemek elterjedésének módjára. A vizsgálatokat
egyes nyomelemek toxikus jellege is indokolja, de jelentős nehézséget okoz,
hogy a vizsgált régióban hiányoznak az
elemek természetes elterjedésére, mint viszonyítási alapra vonatkozó adatok. Az elemek lokális koncentrációja az uralkodó kőzetektől
függ, a diszperzió pedig a mállás és szállítás függvénye. Minden kőzet jellemző nyomelemeloszlást alakít ki a talajokban, üledékekben, növényekben, a felszíni és
talajvizekben.” (p142)
Nem kardoskodom ugyan amellett hogy ennyit már az ókori-görögök is
tudhattak, de annyi bizonyos: ez rendkívül felszínes információ. Amit a
legcsekélyebb mértékben sem komplettál a 142. oldali folytatás kitérője [ahol néhány-soros felszínes példázat mögött ez olvasható:
„A felsorolt kőzetek és a nyomelemek kapcsolata a természetes körülményekre vonatkozik, de ezek nehezen kvantifikálhatók és
ezért némelykor a természetes eloszlás és antropogén szennyezés közötti különbség határát nehéz megvonni.”], hacsak nem a teljes-bizonytalanság
növekedése tekintetében.
Kicsit sarkosabban összefoglalva
tehát:
·
Hiányoznak az alap-adatok,
·
Pedig jellemző-voltuk rendkívüli
egyértelműsítésekhez vezethetne,
·
Csakhát, [kapcsolatok is, alap-adatok is] nehezen
kvantifikálhatók.
Emiatt, a széles-nyomtávú geológiai-sallangoktól minél jobban
lecsupaszítva, olyan adatbázisokat kerestünk amelyek konkrét-bepillantást
engednek az adott-lokációk minél teljeskörűbb nyomelem-ellátottságába – lehetőség
szerint a jelenkorhoz köthetően.
1.)
Egy
feltárás tanulságai
Ebben a tekintetben
kitűnőnek ígérkezik egy hazai szakdolgozat[12]
célkitűzése, amely 3 alapvetően-eltérő talajtípust vizsgál, a fő-alkotók
mellett 17 db nyomelem tekintetében, mind mélységi mind frakciók szerinti
tartalmi-meghatározást kísérelve meg. A vizsgált talajok alap-jellemzőit a 2. Táblázat mutatja:
2. Táblázat: a három vizsgált helyszín és talajtípusai
A Nagyalázsonyra vonatkozó eredményeket a 3. Táblázatba gyűjtöttem:
3. Táblázat: Nagyalázsony: mélységi (cm) és porozitás-szerinti
(mikron) nyomelem-tartalom (mg/kg)
[a 2. oszlop „5” értéke a 0-5 μ, a „10”
jelzés az 5-10 μ, stb. közötti frakciót jelenti]
Az elemzések un.
Röntgen-fluoreszcenciás (XRF)
módszerrel lettek végezve, ahol az egyes elemeknek a dolgozatban megadott
kimutathatósági-határait (LLD) a
táblázat 1. sora jelzi. Ennek birtokában, a táblázatban előrébb-ugrasztott (piros-betűs sárga-háttérrel
jelzett) értékek nem tekinthetők hitelesnek. Ami önmagában is komoly
következetlenséget jelez. Ha azonban ezekhez hozzávesszük a dolgozatban fellelt
4. Táblázatbeli tételeket is, akkor
a kételyek nemcsak mélyülnek, de diverzifikálódnak is:
|
1. |
A 65-110 cm réteg sósavval
nem reagál (p47) Dacára hogy az 41%-ban
CaCO3 tartalmú (8. táblázat p49) |
Ha valaki ennyit nem képes összeegyeztetni,
annak mit jelenthet a többi
kémiai-fogalom? |
|
2. |
Csak
a 2 mm alatti frakcióval foglalkozott (p50) |
(Ennyivel csorbul a
komplettség mint célkitűzés.) |
|
3. |
Ugyan miből és mennyit
vihetett el a szitálást megelőző desztillált-vizes mosás (p50)? |
a) mód lenne száraz-szitálásra is. b) de meg lehetett volna
elemezni a (vizsgálat-nélkül elöntött) oldatot is (miheztartás végett). |
|
4. |
Referenciák:
a) nem a vezetéknevek ábécéje
szerint halad a sorrend; b) Sztrókay [Kámán] prof. neve k-nélkül |
[Mindez
a Tanárainál is átment.] |
4. Táblázat:
Néhány alapvető melléfogás a dolgozatban
Mindezek arra
intenek, hogy a dolgozat mérési-eredményei interpretálásánál nem árt az
óvatosság. Mivel azonban az efféle feltárások meglehetősen ritkák, élni
kényszerülünk az adottakkal. Joggal feltételezhető hogy (helyes mérés-levezetés esetén) a legkisebb
hibával a legkisebb frakció [ami 0-5μ] terhelt,
hiszen ott az inhomogenitásból eredő bizonytalanság fellépte szinte kizárt. (Ez a frakció a csernozjom-talajban 35-40%, az erdőtalajban
20-25%, az öntéstalajon 5-10%-nak mondott. [54-56pp]) Ezzel az adat-szűréssel
készült az alábbi 5. és 6. Táblázat.
Későbbi céljainkat is szem-előtt tartva, a vizsgált nyomelemeket 3 csoportra
bontottam: az első 6 db
(Cr–V)
a biológiai aktivitásokhoz szükséges „esszenciális”
elemek; a következő 5 elem együttesére (Rb–Zr) [2 alkálifém, 2 alkáli-földfém, 1 átmeneti-fém]
mint egyfajta geológiai-markerre
tekintek; az utolsó 4 elem (Y–Th) [ritkaföldfémek – rendkívül hasonló
kristályos-struktúrával és kémiai reaktivitással] pedig mint az
előfordulási-esetlegességet pufferáló
indikáló-tényező szerepel.
5. Táblázat: Mélységi
nyomelem-eloszlás (mg/kg):
3 talajtípus legfinomabb (0-5μ) frakciójában
Láthatóan e szűrés
által jelentősen csökkentek az LLD
miatt figyelembe nem-vehető cellák, azonban még a felszínes-áttekintés is
túlzottan erős irregularitásokat mutat. Mielőtt tehát bármilyen kijelentésre
ragadtatnánk magunkat, a fentiek mellé tesszük egy másik vizsgálat[13]
hasonló adatait [7. Táblázat], abban a reményben
hogy azok segítenek az eligazodásban. A helyszín itt egy szubtropikus Dél-Kínai
sziget, ahol a bazaltkőzet eróziója volt a vizsgálat tárgya. A nyomelemek HNO3
+ HF feltárást követően ICP-MS
módszerrel lettek meghatározva.
A felszíni termőréteg itt nem volt a vizsgálat
tárgya; az alatta-levő kőzetben (500 cm mélységig) nem volt észlelhető durvább
szakadás: fokozatos volt az erózió-keltette átmenet.
A Dél-Kínai adatsorok
két következtetést engednek meg:
i)
Homogén kőzet (mint kiindulási-anyag) az erózió
előrehaladtával is folytonosságot mutat vertikálisan a nyomelemek eloszlása
tekintetében.
ii)
A bazalt (és a belőle képződő talajformák)
minden tekintetben jól/elégségesen ellátottak a mikroelemek mindhárom
csoportjával.
Ha most ezek fényében
tekintünk a 3 hazai talajféleség vertikális nyomelem-eloszlására [5 Táblázat], akkor némiképp
bizonytalanabb állítások fogalmazhatók csak meg. A bizonytalanságok okai szétkülönböztetése
ugyan nem egyértelmű, de kizárt hogy ne lenne köztük metodológiai és
méréstechnikai eredetű is. (Erre nemcsak a már feltárt elemi hibák utalhatnak [ld. 4.
Táblázat], de az is hogy a minta előkészítéséről a dolgozat nem ad
információt, pedig azon rengeteg dolog múlik [ld. alább, 2.) alatt].)
a) Az esszenciális
nyomelemek közül háromról (Ni, Cu, Zn), a markerek közül pedig négyről (Rb,
Sr,
Ba,
Zr)
elmondható hogy vertikális jelenlétük megszakítatlan, kvázi-homogén.
i)
Szigorúan ez sem áll, hiszen a csernozjom-talaj 50-70 cm szintjén a Zr
értéke hihetetlenül alacsony [~100 helyett 2 mg/kg], míg az erdőtalajon a Ni
mutat 40-65 cm között értelmezhetetlenül-alacsony [<LLD]
értéket.
ii)
De a csernozjom-talajon a Ni és Cu értékei is egyfajta
szakadást mutatnak 70 cm alatt. Míg a Zr előbbi alacsony-értéke szinte
bizonyosan félremérés, addig a Ni és Cu 70 cm alatti alacsony
értékei a csernozjom-talajban interpretálhatók jóhiszeműen akár talaj-rétegzettségi
eredetűnek is. Ezt azonban
·
kevéssé erősíti meg hogy ugyanott a Zn
értékében hasonló törés egy réteggel lejjebb mutatkozik,
·
de az sem hogy Co esetén a törés már 25
cm alatt előállna,
·
az értékek sugallta éles réteg-elválásokat pedig
végképp nem erősítik meg a pufferáló
csoport tagjai: míg a Th szintje csernozjom-talaj esetén
végig kiegyensúlyozott, addig a Ce értéke „hármas-szakadás” szerint
ugrál, a La pedig erősebb szakadást mutat 25 cm alatt mint a Co.
b) Ha ezek-után – az eredmény-centrikusságot is szem előtt
tartva – a kiugróan alacsony és magyarázhatatlan értékeket falsnak tekintjük,
akkor ugyan lényegesen kevésbé stabil alapokon állva de elmondhatjuk: mindhárom
hazai talajtípus nyomelem-ellátottsága kielégítő mélységi-tekintetben.
Azzal a kiegészítéssel hogy pl. az öntéstalajon a Cr és Co
jelenléte moderált lehet a többi talajhoz képest.
De ezt is kissé elbizonytalanítja a 3.
Táblázat, amely szerint a 0-15 cm
réteg 10-20 μ frakciója és a 42-150 cm réteg 45-80 μ frakciója kifejezetten magas Cr tartalmú.
c) Ha pedig csupán a felső-talajrétegre koncentrálunk (nem feledve hogy a 6. Táblázat adatai mindössze a 0-5μ frakció nyomelem-koncentrációit mutatják),
akkor a kielégítő nyomelem-ellátottság képe az esszenciális elemek tekintetében szinte makulátlan.
A Cr ellátottság adataira már kitértem; a V látszólagos hiányát
hasonlóképp modulálja a 3. Táblázat 42-150 cm rétege két frakciója (41 ill 102 mg/kg
tartalommal); a Co alacsonyabb értékei valósága az erdőtalajban pedig a
dolgozat megfelelő részének a megtapogatásával latolgatható.
2.)
Elemzés:
metodikák és feltárás
Nem söpörve a szőnyeg
alá hogy a talált dolgozatból levonható következtetések mennyire esetlegesek,
rá kell mutassak azokra a nehézségekre is amelyek a legjobb szándék és
eltökéltség mellett is megnehezítik a valós-helyzet felmérését.
a) A jelenleg alkalmazásba vonható műszeres elemzési-technikák jobbára csak egymással vállvetve
lennének képesek megválaszolni minden feltett kérdést. A gyakorlatban ez
viszont ritkán valósul meg; így mindig figyelni kell arra hogy a kapott/közölt
mérési-adat mit is jelent, hol is vannak a kijelentések érvényeségi-határai.
Az
alkalmazásba-vonható elemzési-technikák:
8. Táblázat Műszeres-módszerek: minta-igény és a nyert
információ jellege
Durva
megközelítésben ezek a metodikák két csoportra bonthatók.
i) Az egyik a minta teljessége
oldatba-vitelét követően szolgáltat az oldással homogenizált mintára vonatkozó átlag-koncentráció értékeket – kvali/kvanti
tekintetben is igen megbízható pontossággal/precizitással.
ii) A másik a minta
oldatba-vitele nélkül, a minta-felületről (vagy annak [kiszemelt/szkennelt] lokációjáról)
képes pontos kvalitatív-információt adni, némileg kevésbé precíz
kvantifikációval. Ezek közül kiemelkedően más a NAA módszer (mint ami a felszínin túli,
mélységi-információt is kínál), viszont a sugárzó-izotópok létrejötte [és elhelyezése] miatt
az alkalmazás elterjedtsége visszaszorulóban van.
b) Az elemzendő
kőzet/talaj-minta oldatos-vizsgálatakor
nagyon nem mindegy, hogyan is értelmezi és állítja elő az oldatot az elemzést koordináló/végrehajtó
személyzet. Ennek erős lenyomata észlelhető még a „IUPAC Technical Report”-ban[14]
is. Ahol még a probléma érzékeltetése után is visszasodródnak a csak
részleges-eredményeket adható félmegoldások felé. Illusztrációképp:
|
A „Report” szövegéből: |
magyarázat: |
|
„A talajokhoz és az
üledékfrakciókhoz kötött nyomelemek
meghatározása” „A szilárd mintákban a
nyomelemek specifikációjának megértése még mindig nem
kielégítő, mert a megfelelő technikákat csak operatívan határozzák
meg.” „Maradék frakció: Ez a frakció
főleg kristályhoz kötött nyomelemeket tartalmaz, és leggyakrabban magas koncentrációjú savakkal és speciális emésztési
eljárásokkal oldják fel.” |
A
cikk címe is felemás: nem a teljes, csupán a kötött elemekről szól. Magyarul: egyik labor így, másik labor úgy érti a
tennivalót. (Felső-törzskari operatív-döntés alapján: mindenki
hozza a maga kémiai-tudását.) Rendben
van, legyen részekre/frakciókra bontás is. Csakhogy a VÉGSŐ „maradék”
már teljesen oldásba kellene menjen – máskülönben az is maradékot ad. Erre
pedig alkalmatlan a „magas
koncentrációjú savakkal” történő oldás (még a királyvizes is). |
9. Táblázat A minta-előkészítés jellegzetes (megválaszolatlan)
problémái
Le
kell szögezzük: A teljes oldatba-viteli eljárások a képzett
vegyész számára nem ismeretlenek. A „szabványok” merev receptúrái
kényszerpályáján mozgó laboratóriumok azonban lassanként már tudomást sem
vesznek ezek létezéséről; pedig egyedül az ezekhez történő visszatérés a
garancia a valósággal paritásban levő eredményekre.[15]
Ezekből
a feltárási-módszerekből ad ízelítőt az a kompendium, amelynek az anyagára
alább támaszkodni fogunk. Ezek pedig[16]:
·
olvadék-ömlesztési technikák: lúgos vagy savas, oxidatív vagy reduktív
ágenssel, ha kell 1000oC fölötti hőmérsékleten;
·
HF feltárás (különösen
szilikátok esetén);
·
kombinatív technikák (utólagos frakció-egyesítéssel; vagy külön
elemezve azokat, melyet algebrai vég-összesítés követ).
3.)
Az
alakító-tényezők
Pontosítanunk érdemes
hát a ref.11-ből fentebb már idézett
„Minden kőzet jellemző nyomelemeloszlást
alakít ki” szentenciát egy másik forrás[17]
kissé alaposabb körbejárásával:
„Az
elsőrendű meghatározó tényező: a geokémiai háttér.
Bármely
éghajlat esetén messze a legalapvetőbb tényező amely a kezdetektől fogva
meghatározza a talajok nyomelem-tartalmát, maga a kiindulási geológiai-anyag.
Legyen az a helybeli alapkőzet, vagy az üledékként a helyszínre kerülő
hordalék. Ezeket legfeljebb módosítani képesek a lassanként lezajló eróziós és
mineralizációs folyamatok.
Kapcsolódóan,
ismételten ki kell emeljük: Ezen ismeretek partikuláris feltárásaira csakis
azok a módszerek vehetők számításba amelyek valóban a talaj/kőzet
TELJES-anyagáról képesek számot adni – ami tehát megköveteli a minta teljes oldatba-vitelét, legyen az
eljárás a szilikátok folysavas oldása vagy ömledékes feltárási-módszer.”
Mindezt definitív-elemekkel támogatja
meg a 2. ábra,
amely a 4.) alatt bemutatásra-kerülő nyomelem-térkép
szemelvények mélyebb értelmezéséhez nélkülözhetetlen segédlet:
(sárga-háttérrel az emberi-beavatkozás tényezői)
4.)
Térképek
és tanulságok
Ezek után
megtekintésre kínálom a szabadon böngészhető Geokémiai ATLASZ-ból[18]
merített alábbi térképeket, amelyek Európa
nyomelem-ellátottságát illusztrálják. A 10 db bemutatásra-kiválasztott kémiai-elem
közt vannak az élőszervezet létéhez/működéséhez vitálisak (Cu, Zn, V, Mo, Co), közömbösek (Y,
Zr),
potenciálisan kedvezőtlen (Ba), és mérgezők (Pb,
Cd).
Az össz-európai térkép alatt kinagyítottan mutatom hazánk és környezete-régióját
is, a bennünket közelebbről érdekelhető regionalitások pontosabb követése
érdekében. Az össz-európai eloszlás-diagrammot szintúgy mellékeltem; mindezeket
felszíni
[Topsoil: baloldalon] és altalaj [Subsoil:
jobboldalon] vonatkozásban; az egyes térképek felett indikálva az alkalmazott
vizsgálati-módszert és a medián-értékeket is.
A térképekről részletező-elemzés nélkül is megállapíthatók:
i) Hazánk teljes
nyomelem-ellátottsága az össz-európai medián-érték körül mozog; lokálisan a
Duna-Tisza köze alsó/középső-régióira jellemző a csökkentebb
nyomelem-ellátottság.
ii) Mérgezési-lehetőségekkel bíró talajaink nincsenek;
vitális-nyomelem hiány mindössze Mo és Co esetén jöhet szóba.
·
Molibdén
tekintetében hazánk jelentős területe feltalajában mutat alacsony-szintet a
térkép, ami a színkódoláshoz társuló alacsony-koncentrációval együtt már
figyelmeztető.
·
Kobalt
tekintetében a hiányosan ellátott hazai talajterület kiterjedésre ugyan szűkebb
de számottevő.
iii) A hiány-helyzet
(valódi) súlyosságát megítélendő, érdemes megfigyelni hogy Lengyelország szinte teljes területe [valamint az egykori NDK-állam domináns része] legalább ilyen súllyal érintett a Mo
és Co
hiányokkal (a
feltalajok tekintetében is!), ám egyelőre termelőképesnek mutatkoznak
ezek a régiók is.
iv) Amennyiben effektív-pótlásban
kellene gondolkodni, úgy két lehetőség jöhet szóba: Magasabb Mo+Co
ellátottságú talajok behozatala és
szétterítése; és a magas-hatóanyagtartalmú vegyszer-importra
épülő.
·
Talaj-behozatal esetén a tranzit+szállítási költségek adják a ráfordítás
döntő-hányadát. Emiatt csakis közeli forrás-helyekben lehet gondolkodni. A fenti
térképek tanusága szerint viszonylag-közeli Horvátországi
régiók feltalajai kiválóan alkalmasak e célra: Amennyiben más, összehangolt
ösztönzők is elfogadhatóvá teszik az efféle talajmozgatást, úgy racionalizált
teherfuvar/vagonírozás mellett előnye, hogy a talajba geológiai-erőkkel
beágyazott nyomelemek rögzülése stabil, azaz majdani kimosódási-veszteségektől
kevésbé kell tartani – bár kétségtelen hogy az így behozott nyomelem-mennyiség relatíve csekély.
·
Vegyszer-import esetén a befektetés költsége pontosabban
meghatározható:
o
A Mo-hiányos hazai területeink talajai az EU-mediális érték közelébe hozhatók 0,1-0,2 mg/kg Mo
feljavítással. Az érintett területek (~60 ezer km2) harmada
tekinthető termelő-jellegű mezőgazdasági-művelésben érintettnek. Ha a talaj
felső 10 cm rétege megfelelő Mo ellátását vesszük célul, akkor ez
(~2,5 kg/dm3
talaj-sűrűség esetén) négyzetméterenként 0,15*100*2,5=37,5 mg Mo kijuttatást igényel.
20 ezer km2 területre ez 750 tonna molibdént igényel. Mivel a
legkönnyebben elérhető molibdén-forrás, az ammónium-molibdát-heptahidrát
[((NH4)6Mo7O24*7(H2O)] Mo-tartalma
~50% és piaci-ára[19] (jelenleg, 1000 kg rendelés
fölött) $3,90,
így a hazai feltalajaink Mo-szintje szükségesnek bizonyulható
megemelése vegyszer-költsége (300Ft=1$US árfolyammal számolva) 1,755 Milliárd Ft.
Ha
már értelmes célokat keresünk a Vidék-fejlesztési
befektetésekhez…
o Ekkor a
kihelyezési-gyakorlatot kell összhangba hozni az egyéb agrotechnikai
gépjárásokkal: a rituálisan ismételgetett oldatos-spray kijuttatásával
viszonylag egyenletes terítés érhető el a kívánt/művelt agrárterületeken. Innentől
viszont ténylegesen kerülni kell az amúgyis helytelen direkt-öntözési technikát, összhangban a TMMG
kínálta sokkalta kíméletesebb, racionálisabb és fenntarthatóbb módszerével. S
ugyancsak nem elhanyagolandó szempont az elvitt (termény) részek beltartalma ásványi-komponenseinek a vissza-hozatala
a földekre. Ezt pedig a Vízgazdai Alomszék/Alomátitató-telepi ürülék-feldolgozási metodikák kínálják
és teszik lehetővé.
v) Kimerülés ill. mérgezési-lehetőség
jövőbeni potenciális tüneteivel ott lehetséges számolni, ahol a feltalaj és az
altalaj nyomelem-koncentrációja drasztikusan eltérő. Ilyen állapotok hazánk területén
– a térképek tanusága szerint – nincsenek. A jelzésértékű,
finomabb-különbségeket az alábbi 10. Táblázat foglalja össze.
10. Táblázat: Viszonyított többlet(+)/hiány(–)/azonosság(~) al- és
fel-talajaink közt,
a teljes-területen (Feltalaj) ill.
számottevő eltérések regionálisan (Altalaj)
[Rövidítések: ÉK=északkeleti-régió, DTK=Duna-Tisza köze alsó-régió]
5.)
Összevetések
Tágabb képbe helyezni
hazánk talajai nyomelem-ellátottságát segít a 11. Táblázat – melynek 2. oszlopbeli „Földkéreg %” adatai a 3. ábráról
becsült értékek. A táblázat utolsó (5.) oszlopában feltüntettük az 1.)
alatt tárgyalt dolgozat (ref.12)
eredményeit is. A táblázat 2. oszlopa cellái végén elhelyezett markerek (Ì/É/~/▬) a 3. oszlop „EU-medián” értékeihez viszonyítottan
mutatják a teljes-földkéreg
készleteit; míg az 5. oszlopban alkalmazott hasonló markerek a 4. oszlop (1.–10. Térképekről vett) értékeivel való kívánatos-összhang
hiányának a jellegére utalnak.
11. Táblázat Adat-összevetések:
fölösleg/hiány; összhang/disszonancia
6.)
Denudáció:
avagy a valós-helyzet virtualitása
Fenti
nyomelem-ellátottság mellett nehezen tűnik tarthatónak id. Béres József[20]
alap-kiindulási pontja – hacsak-nem figyelembe vesszük azt a lényegi-tényezőt,
amelyet (mint fentebb
már többször is jelezetem) igyekezettel elegyes feledékenységgel söpör a
szőnyeg alá még a szakavatottabbja is. Nevezetesen: egy-dolog a (közvetlenül/azonnal)
felvehető nyomelem-mennyiség, és
egészen más a talaj összes nyomelem-tartalma.
Béres József – hogy ne tékozolja el a Neki amúgyis megpróbáltatások
közt megadatott kísérletes éveket – a sürgető beavatkozások elsődlegességét
tartva szem előtt, eltekintett a talajszerkezeti-kölcsönhatások mélyebb
feltárásától, s helyette az azonnal-megléphető értelemszerű kerülőutat
választotta, egyebekben helyes felismeréssel. A fogyasztásra-kerülő
élelmiszerekben mérhetően megmutatkozó, a talaj „denudációjából” [szó-szerint: lecsupaszítás]
fakadó csökkent-mennyiségű vitális-mikroelem tartalomra visszavezetett
malfunkciókat az emberi-szervezet működésében „étrend-kiegészítőnek” is
tekinthető mikroelem-koncentrátumok adagolásával kompenzálta, sikeresen.
A talaj-kimerülés eme speciális válfajára, a növényvilág közvetítésével
a talajból felvehető mikroelem-mennyiség fokozódó beszűkülése (szakszóval: talaj-denudáció)
észlelése/kezelése megkerülhetetlen fontosságára Béres már kutatása korai-éveiben rámutatott: „A
termőtalaj – geológiai értelemben vett – evolúcióját, illetve az élővilág
szempontjából kedvezőtlen denudációját a tudomány nem kezeli
súlyának megfelelően.”[21]
Mi több, az ehhez vezető, egyéb-tekintetben az agrár-körökben általánosan-elfogadottan
talajjavító szándékú ill. célzatú, egyoldalú N+P+K (mű)trágyázási-gyakorlat
közvetlen-felelősségére is rámutatott, ha csak érintőlegesen is, lehetőségeihez
képest: „a makroelemek túlzott pótlása, illetve a talajban való halmozódása a termőtalaj állapotának visszafordíthatatlan változását okozza” [ref.21, uott.].
Sem a hivatalos-tudomány
sem a köz figyelme, sajnos, azóta se tért vissza ezen rendkívüli-súlyú, jövőt s
fenntarthatóságot alapvetően befolyásoló tényezők átgondolásához; dacára hogy
egy másik elhivatott tudós egy ideje már lényegi-pontosításokat tett ezek
táján, kidolgozva s kínálva egyben a megvalósítás kivitelezhető gyakorlatát is.
Ez pedig nem más,
mint Országh József
vegyész-professzornak a „semmiből” 30 év alatt kerekre megalkotott Vízgazda
-rendszere. Amely olyannyira közérthető, hogy a vértelen publikációkkal
„kvalifikáltak” (védvonalaik
mögötti lefüggönyözött zárkáikból, céhbeli alapállásukhoz kérkedően igazodva,
azaz: hozzá sem nyúlva) eleve tudománytalannak tekintik. Kétségtelen, a Vízgazda
eredeti előadásmódja – Szerzője
célzatos választásával összhangban – valóban redukáltabb magyarázatokkal bír
tudományos-vonatkozásban, ám minden kijelentése mögött már megállapodott tudás
aranyfedezete áll. Amit azért azzal kell kiegészítsek, hogy esetenként az
aranyfedezet adott (mázsás)
tömbje nehezen váltható aprópénzre. Megvilágítom: Ahol pl. a hitetlen kérdőre-vonó
„adatokat” követel*, ott emlékezetbe illik idézni: a Vízgazda egésze úgy
érte el eredményeit, hogy eddig SOHA nem élvezte semmilyen formában a kutatási-támogatást.
Szemben a folyamatos finanszírozást élvező kitalációs-témákkal és egyedül a
publikáció-szám növelésre pedálozó szerzőikkel, akik ezzel együtt is képtelenek
a téma körül félreértésekkel-teli zöldségeknél és pitiáner-érdektelenségeknél
többet összehozni és felmutatni – miközben az irreleváns adattengereikre
mutogatnak.
* Természetesen léteznek a Vízgazda
főbb vonatkozásait messzemenően alátámasztó adatok is – amelyeket az őszinte kíváncsiságtól hajtottak rendre
fellelhetnek. Például a Szürkevizet
illetően (TREND[22]);
vagy amely helyére teszi a xenobiotikumok
komposztálás-általi effektív-lebomlása bizonyítását (Drogok:
ártalmatlanítás).
De idevehető
akár a jelen-dolgozat is, amely a mágikus-körbe tartozónak tekintett publikációk elméleti hibáit, hiányosságait, sekélyességeit sem rest nemcsak feltárni, de egyben kiegészítéseket
is tesz azok lukait befoltozandó – bár éppúgy nem vállalja fel a
mind-ragályosabb degeneráltságban tobzódó és betegesen burjánzó folyóiratokban megjelenés (illetve
elsüllyedés) kétes-dicsőségét, mint az imént hivatkozott írásaim.
Ha most visszatérünk
a térképek mutatta tanulságra (miszerint talajaink összes nyomelem-mennyisége
elegendő tartalékokkal bír), s ehhez hozzávesszük az agrártermékeink
beltartalma vizsgálataiból visszaköszönő felvett nyomelem-mennyiség 1960 óta
tartó folyamatos csökkenését[23],
akkor a talaj-kimerülési szimptóma (talaj-denudáció) megtapasztalt valóságát tágabb-értelemben látszólagosnak kell megjelöljük. Aminek
a hátterében áll az igazi, a nagy kérdés: Hogyan
s miként érhető el, hogy a
talajban „elfekvő” (geológiailag masszívan kötött) nyomelem-hányad is forrása lehessen a felvehető-mennyiségnek?
Azt fentebbről már
tudjuk, hogy akadályozóként ott van a műtrágyázás hamis-barát tényezője; alább
pedig megkíséreljük bemutatni: Milyen szerepe van/lehet a kívánatos
feltárási/felszívódási folyamatokban a talajok különféle
szervesanyag-tartalmának.
B.)
Szervesanyag-tartalom, funkcióik
A
dolgok megismerése és feltárása menetében, alább szeretnénk annyira támaszkodni
a korábban már megtett eredményekre és felfedezésekre amennyire azok módot
kínálnak erre. Így az elemzést azzal kezdem hogy egy 2001-es, azóta is több
kiadást megélt átfogó műből* merítem az érvényesnek tekintett megállapításokat.
* A könyv[24] tartalmai mögött álló
többezres referencia-arzenál részleteiből ezúttal nem citálok; minden
elmélyedni vágyó ill. hitetlenkedő elmerülhet kutatgatni az eredeti-források
tartalmaiban maga is. Teszem ezt amiatt is mert feltételezem: amennyiben a
forrásmunka pontosabb ill. mélyebb megállapítást tartalmazna, akkor a
kompendium összeállítója sem lett volna rest a mélyebben-szántó következtetés
említésével élni.
Minden egyes idézett tényrögzítéshez megjegyzést fogok fűzni – akár
értékelésül, akár továbbgondolkodásra serkentőül. Amint ezen túl leszünk –
értsd: a Mű kínálta bölcsességek témánkhoz-tartozó
zsákja kiürül – lépünk tovább (a megszerzett ismeretekkel felvértezetten) arra a talajra,
amelyen a járás biztonságát már máshonnan merítjük: térgeometria és konformáció-analízis
lesznek az ottani jövés-menésben a „sétapálcáink”.
1.)
Átnézeti
TABLÓ
Megállapítások a
Műből [I=idézett szöveg; F=fordítása; H=hozzáfűzéseim]
i) Diszkrepanciák: a Kémiai-történések matematikai-kiszámíthatósága
körül:
I: Chemical equilibria of various soils have been
studied and comprehensive mathematical models for the particular soil
conditions are presented by Bolt and Bruggenwert. Although many papers have
been published on the behavior of trace elements in soils, their chemistry is insufficiently known (p51)
F: Szerteágazó talajok kémiai egyensúlyait tanulmányozták, és az adott
talajviszonyokhoz átfogó matematikai modelleket társított Bolt és Bruggenwert. Bár
számos tanulmány jelent meg a nyomelemek viselkedéséről a talajban, kémiájuk ELÉGTELENÜL ismert.
H: És ez így lesz,
(feltehetően még) nagyon-nagyon sokáig…
ii)
Hatalmas diverzitás – ömlesztett lehetőségek:
I: The diversity of ionic species of trace elements
and their various affinities to complex with inorganic and organic
ligands make
possible the dissolution of each element over a relatively wide range of
pH and Eh (p51)
F: A nyomelemek ionos fajainak sokfélesége, valamint ezek különféle
affinitási-hajlamai által szervetlen és szerves ligandumokkal képződő
változatos-komplexeik, lehetővé teszik
az egyes elemek oldódását
meglehetősen széles pH és Eh tartományában.
H: Úgy van. És éppenséggel a
humusz-anyag
az, amely kismillió szerves-ligandummal
bír.
[Bizonyos
részletekért: Takarás
II., Szörny
a Tisztítás .]
iii)
Minden megtörténhet – akár nüansznyi változásra is:
I: Each element can also be quite readily precipitated
and/or adsorbed, even under a small change of the equilibrated
conditions. (p51)
F: Bármely (nyom)elem simán kicsapódhat ill. adszorbeálódhat az
egyensúlyi-helyzet legkisebb változásakor.
H: Ismétlés-e vagy sem:
megerősített pofon a kiszámíthatóság vágyálmának. Ez tehát az a bizonytalanság,
ami sem a papír sem a “lombik” felől közelítve soha nem uralható – viszont a
kiegyensúlyozott/beállt egészséges talaj
(alkalom-adtán) megtalálja a kényes egyensúlyt.
– Nekünk „mindössze” az alkalmat kell biztosítanunk (akár odaadással is).
iv)
A lokalitás egyedisége:
I: In soils, solubility equilibria may change significantly
within a few centimeters (even
millimeters) at both horizontal and vertical soil gradients. (p52)
F: A talajban az egyensúlyi-körülmények kis
távolságokon belül is (cm, de akár mm) JELENTŐSEN változhatnak,
mind horizontális mind vertikális irányban.
H: A ii) és iii)
által biztosítható finomhangolás a
térbeli-lehatárolódásokkal tehát tovább-finomodik.
Biztosítva ezáltal [pl.
a növény tápelem-felszívó gyökerei számára] az „erőlködés-mentes”
működést: nem szükséges mérhetetlen áldozatokkal mindenütt általánosan
kedvezőre hangolni a talaj egyensúlyi-folyamatait. Elegendő azt abban a szűk
lokalitásban előidézni ill. beállítani, ahol erre a nyomelem felvétel ill. csere
szempontjából szükség van.
N.B.: Az erőltetetten
megvalósított, általánosan-ható „kedvező körülmény” kiváltotta nivellálódás vezet ama szelektivitás
eltűnéséhez, amelyet a mikro-környezetben fellépő finomhangolás biztosítana a
más- és más-féleképpen beálló, eltérő-egyensúlyok által. Talán éppen ez áll a
műtrágyákkal mesterségesen bevitt makrokomponens-bőség
kedvezőtlen hatása mögött.
v)
Szerepet kér a folyamatok dinamikája is:
I: Thus, these equilibria are local and
may often be quite different in various sites of the soil. Since the dynamic nature of soil components
causes dissolution and precipitation, many of the minerals and amorphic solids
may not be in equilibrium under soil conditions.” (p52)
F: A (szóbajöhető) egyensúlyok tehát lokálisak, s [iv) szerint] rendkívül
eltérőek lehetnek a talajban egymáshoz igen közel is. A talaj-komponensek [többek
között: víz, O2] dinamikus-viselkedése, oldódások és
kicsapódások szinkron egyvelege, viszont azt jelenti, hogy az eddig
egyensúlyinak tekintett állapotok közel sem beállottak.
H: Tömörebben: a talajban
valójában tranziens folyamatok zajlanak egy-egy időleges-egyensúly tájékán.
Ez már lényegesen erősebb fogódzót kínál ahhoz hogy az i) alatt már bekopogó
(matematikai) kiszámíthatatlanságot komolyabban vegyük.
S nem negligálható e figyelmeztetés arra
vonatkozólag sem, hogy méricskélhet, árkusokra vethet, publikálhat tarkát és barkát a belenyugodni képtelen
tudálékosság: tengernyi szüleménye nem oszt-szoroz sehol; jeltelen koporsója a
tudományos-igényű folyóiratokat biznisz-szemlélettel az olcsójános-gigaüzlet
posványává züllesztő publikáció-temető
lesz.
Amit viszont érdemes „kőbevésni” (de inkább a mérlegelő agyban
elraktározni), az a Megengedő-Lehetőség tágabb formulája:
Dacára hogy az általános
termodinamikai-egyensúly valamire szinte biztosan mindig kedvezőtlen, a dinamikus változások a mikro-regionalitás szintjén mindig képesek
időlegesen
kedvezőre alakulni.
vi)
A sokféle forma (együttes) jelenlétéből adódó (további) bonyodalom/kuszaság:
I: As soils consist of
heterogeneous mixtures of different organic and organo-mineral substances, clay
minerals, oxides of Fe, Al, and Mn, and other solid components as well as a
variety of soluble substances, the
binding mechanisms for trace metals in soils are manifold and
vary with the composition of soils and their physical properties. Thus, a metal
may form different species according to whether it is bound to various soil
compounds, reacting surfaces, and external or internal binding sites with
different bonding energy. In order to assess the speciation or binding forms of
trace metals in solid materials, different analytical procedures involving
successive extractions have been developed. Considerable controversy
has developed over selective extraction methods to determine the amounts of
trace metals associated with various soil phases.
Despite all the limitations of these methods, some of them have been broadly
used. (p62)
F: Minthogy a talaj heterogén elegye a különféle szerves-anyagok (ásványokkal-kombinálódottakat
is ideértve), agyag-ásványok, fémoxidok (Fe, Al, Mn) és egyéb alkotók, valamint elágazó-természetű
oldott-anyagoknak, a nyomelemek
kötődési-mechanizmusa a talajban rendkívül sokrétű, és a talaj
összetételével ill. fizikai-tulajdonságaival együtt változik. Ekként, egy adott
fém rendszerint több különböző formában van jelen, aszerint hogy valamely
talajalkotóhoz kötött, reaktív-felülettel van kölcsönhatásban, különböző
kötési-energiájú külső vagy belső pozícióban. Az adott fém eltérő
jelenléti-formái megkülönböztető meghatározásaira a talajban a legkülönfélébb
analitikai-eljárások lettek bevezetve, beleértve a lépésenkénti (szukcesszív)
extrakciókat. Mindezen
egyértelműsítési-indíttatású igyekezetek eredményei meglehetős
ellentmondásokkal és kontroverziákkal terheltek. Ennek ellenére, számos
metódusuk széleskörűen használatos.
H: Amit itt elsősorban
észlelnünk kell, az 1.) sokféle
jelenléti-állapot, 2.) különböző
kötési/kötődési formák – 3.) minden egyes kémiai-elem esetében. Ezt
meglehetős szemléletességgel tálalja néhány nyomelemre a 4. ábra.
A szemléltetettek tudatosabbá konvertálásához segíthetnek még a
következők: Az egyes elemek „mezei” elérhetőségén túl [easily soluble=könnyen/azonnal oldódó; exchangeable=kicserélhető] a lehetséges forgalom
bonyolításában központi-szerepük van a szervesen-kötött [bound OM] formáknak. Ezek a formák leginkább a
humusz-anyagok kínálta mérhetetlenül variábilis kelát-struktúrák megvalósulásával jönnek
létre, s tartják vezérlésük alatt mindazokat a cseréket, megkötéseket,
feltárásokat, amelyek által az élettelen ásványi-tartalom (ideértve a
nyomelemeket is) az élőlények szöveteivel kommunikál.
Mégpedig abból a készenléti- ill. tartalék-rezervoárból dolgozva, amelyet az ábra
alkalmasint maradék [residual] ill. oxidos [associated
with oxides] frakciókként
jelöl. Természetesen nem automatikusan ill. mindenkor. Csakis akkor, ha a
talajbeli-állapotok a zavartalan-Természet
maximális diverzifikáltságához közelítenek. Ekkor viszont azzal a szerfelett
„ügyes” (és utánozhatatlan) technikával, amely minimális-erőfeszítéssel ám
mégis rendkívüli-hatékonysággal dolgozik: ld. iv).
A szukcesszív-extrakciós és egyéb
analitikai-módszerek újratermelődő kontroverziáihoz [IV.)A.)2.)b)
alatt már megvillantott észrevételeken túl] csupán
annyi lenne a hozzáfűznivalóm, hogy bárminő eredményt is adjanak, azok
információ-tartalmai vajmi kevés korrelációs-átfedéssel bírnak a talajban-zajló
feltárási-átadási forgalmak valóságáról.
vii)
Konfúzió & korrekció. De inkább flexibilitás és alkalmazkodó-készség.
I: Humic substances are known
to have both beneficial and deleterious
effects on biota caused by binding or mobilization of metals. It was observed
that increased trace element levels have an adverse effect on the natural
regulation of the soil biota. (p74)
F: Humusz-anyagok kapcsán megfogalmazódott, hogy azok fém-ion megkötési
ill. mobilizálási képességei előnyösen és
hátrányosan is befolyásolhatják a talaj mikroorganizmus-szintű élővilágát.
Megfigyelést nyert, hogy emelt-színtű nyomelem-jelenlét káros hatással bír a
talaj-biota önszabályzó folyamataira.
I: Microorganisms are very important ecologically because they
are the producing, consuming, and transporting members of the soil ecosystem
and therefore are involved in the flow of energy and in the cycling of chemical
elements. Thus, the microbiota is responsible for many different
processes, from mobilization to accumulation of chemical elements, in soils.
Although microorganisms are sensitive to
both deficiencies and excesses of trace elements, they can adapt to
high concentrations of these elements in their environment. (p74)
F: A mikroorganizmusok ökológiai-szerepe rendkívül fontos; ezen parányi
lények léte, táplálkozása, munkálkodása eredményeképpen jön létre a talaj
dinamikusan-változó ökoszisztémája, beleértve a kémiai-elemek forgalmát is. E
lilliputi-sokaság felelős tehát végsősoron a talajbeli kémiai-elemek
mobilizálásáért, felhalmozásáért. S bár a mikroorganizmusok érzékenynek
mondottak mind a hiányra mind a fölöslegre, képesek alkalmazkodni a környezetükben előforduló magas nyomelem-koncentrációhoz.
H: Fentiekből pontosítást
nyerhetünk arra vonatkozóan, hogy a talajbeli humusz-anyagok [élet-anyag]
szerkezet-gazdagsága által lehetővé váló kismilliónyi különféle-energiaszintű
kelát-formába komplexált fémionok nagybani-mozgatását a magasabban-rendezett
forma, a talaj mikroorganizmus-közössége [élő-anyag] intézi.
Egyben arról is képet kapunk, hogy egymástól mindössze néhány-sornyira
is képes ellentmondó-kijelentésekre egy respektált tudományos-munka: A
kár-okozásban vétkesnek lefestett ágenshez végsősoron képes idomulni a „kárt-szenvedett”.
A negatívumot sugalló szövegrögzítés pozitív-párja ez lehetne: Elképesztően nagy a flexibilitása és az
alkalmazkodóképessége eme mikrobiális csodavilágnak.
viii)
Szélesebb összefüggések:
I: Organic substances play a
prominent role in biochemical weathering and thus in geochemical cycling of
trace elements… It seems more likely that humic and fulvic acids exhibit an
activity of the same order as simple organic compounds in metal ion
mobilization from soil minerals... Organic matter of soils consists of a
mixture of plant and animal products in various stages of decomposition and of
substances that were synthesized chemically and biologically… The amount of
organic carbon in the earth as humus (50*1011 t) has been calculated
to exceed that which occurs in living organisms (7*1011 t). The
major portion of the organic matter in most soils results from biological decay
of the biota residues. The end products of this degradation are humic
substances, organic acids of low-molecular and high-molecular weights,
carbohydrates, proteins, peptides, amino acids, lipids, waxes, polycyclic
aromatic hydrocarbons, and lignin fragments. In addition, the excretion
products of roots, composed of a wide variety of simple organic acids, are
present in soils. (p81)
F: A talaj szerves-anyagai prominens szerepet visznek az ásványok/kőzetek
biokémiai-eróziójában, előmozdítva ekként a nyomelemek geokémiai körforgalmát...Mindinkább úgy tűnik, hogy a huminsav és
a fulvinsav éppúgy képes mobilizálni az ásványokba-kötött fémionokat miként azt
az egyszerűbb szerves-molekulák teszik...A
talajok szerves-anyaga a bomlás különböző-fázisaiban levő növényi és állati
eredetű anyagok elegye, valamint olyan anyagok amelyek ezekből
szintetizálódtak, kémiai-utakon és/vagy biológiai-segédlettel...Becsült adatok szerint, a Földi humusz
mennyisége (50*1011 t) magasan felülmúlja a Föld összes élőlényeinek
a tömegét (7*1011 t). A talajok szerves-anyag tartalmának túlnyomó
hányada az egykor élő alkotók biológiai lebomlásából származik. A degradáció
végtermékei közt a talajban egyaránt jelen vannak a humusz-anyagok, kis- és
nagy-molekulájú karbonsavak, szénhidrátok, proteinek és aminosavak, lipidek és
viaszok, policiklusos aromás szénhidrogének (PAH), lignin-fragmensek. Továbbá jelen vannak a talajban a növények
gyökerei által termelt váladékok, melyek [közt jelentős szerepet visznek a] szimpla szerves savak egzotikus keverékei.
H: Fenti apróságokkal – ha
jól odafigyelünk – igen-sok alapvető ismerethez juthatunk:
·
Megtudtuk hogy az élővilág rendszere a talpán áll (egyelőre): Kb. hétszeres
humusz-feleslegből [élet-anyag] építkezik az élő-világ.
Ezt borítja az eszeveszett-iramú
műtrágyázási-gyakorlat, valamint a talajforgatásos (szántásos) agrotechnikák.
·
Megtudtuk hogy ez nem véletlenszerű: minden élő visszatér
(békés degradációval) a humusz-állapotba.
Ez ellen dolgozik: a Szennyvízipar, a Biogáz-termelés, az Iszap-égetés,
az „energia-ültetvények”. – És a
visszatérést mozdítaná elő a komposztálás minden fajtája, beletéve
„apait-anyait”.
·
Megtudtuk hogy az élő- és élet-anyagok
nem-akadályozott visszatérése a talajba
mérhetetlen vegyület-gazdagságot
produkál.
EZ adja a peremfeltételét annak, hogy
kismillióféle fajtájú és energia-átmenetű kelációs-komplexek
létesülhessenek, a fémionok hatékony ám mégis kontrollált forgalmához. [Ennek az alapjait taglalja
majd ezen fejezet 4.) és 5.) pontja.]
·
Megtudtuk végül azt is, hogy ez a forgalom (a már forgalmazottak
körbejáratásán túl) kiterjed friss nyomelem-állomány bevonására is: a humin-anyagok + növényi-váladékok képesek az ásványok valódi feltárására
is. [Részletesebben
IV.)B.)3.)
alatt.]
EZ az a pont amely világossá teszi: az egészséges-állapotban
tartott talajban nem lép fel „denudációs” jellegű nyomelem-hiány; amennyiben a
talajkőzetben van az adott elemből,
azt képes feltárni a talaj élet-anyagára
épülő magas-diverzifikáltsággal működő rendszer.
Mindezekkel
együtt, vegyük végre komolyan: SOHA nem ismerhetjük
meg* sorozatos-mozzanataiban azt hogy mi is
történik pontosan a talajban, még olyan aprócska-részlet esetében
sem mint a mikro-elemek felvétele.
* És ez nem
szégyen, vagy a tudatlanság beismerése, ellenkezőleg.
Miként a Heisenberg-féle határozatlansági-elv
felismerése, vagy bármiféle negációra-konkludáló fajsúlyos tétel
beigazolódása sem az:
·
NEM a vízzel-tovaúsztatott ürülék megsemmisítési-igyekezete hozza el a
higiéniát, világítja meg a tiszta ész logikájával alapvető kémiai-ismeretekre
mutatva a Vízgazda-rendszer[25] – sőt, ez az elvetélt
iparkodás csőstül von maga után annyi további problémát, hogy a menekülő-utat
sem látjuk tőle.
·
Éppen így, NEM a légköri CO2 a felelős a „névadó-ünnepségen” Klímaváltozás-címkét kapott történések
esetlegességeiért, nyert megállapítást 60 év mérési-adatai precíz feldolgozása
nyomán[26] – de a hamis-vádakkal
bűnösnek-kikiáltott légköri CO2 elleni hajsza során tett
elkötelező-erejű lépések olyan károkat okozhatnak, amit még elképzelni is
nehéz.
Tovább megyek: e két, negációs-vonatkozásban
említett tétel mélységesen összefügg.
Túl azon hogy mindkettő megalkotója „fittyet-hány” az elvárásokra (nem elrettenve a személyes
áldozatvállalástól, sorsuk kedvezőtlen alakulásától sem) abban a küzdelemben, amelyben
ragaszkodnak a tudomány-megkívánta valósággal-egyezés igényéhez.
Az összefüggés meglátása ma
különösen aktuális: Amit a Klímaváltozás
retteneteként zúdítanak mindenünnen a nyakukba [s aminek a hamis-voltát leplezi le Miskolczi eredménye], annak eredői sokkalta
inkább kötődnek a Vizeink és a Talajaink általunk előidézett
rombolásai visszahatásaihoz [amikre a gyógyító ellenszert az Országh-féle
Vízgazda-koncepció
kínálja]. Ebben
a (leleplező vagy feltáró?) összefüggésben világosodhat meg a két, egymástól
igencsak távolálló „renitens” eredmény messzire-gyűrűző jelentősége.[27]
ix)
Légbeszéd:
I: Humic substances are of a
coiled polymer chain structure and contain a relatively large number of
functional groups (CO2, OH, C=C, COOH, SH, CO2H) having a
great affinity for interacting with metal ions. (p82)
F: A humusz-anyagok csavart/tekeredett
polimerlánc-struktúrához hasonlatosak, és meglehetősen gazdagok funkciós-csoportokban (CO2,
OH, C=C, COOH, SH, CO2H), amelyek nagy affinitással viseltetnek a
fémionokkal kölcsönhatásban.
H: Maga az állítás részint
nyilvánvaló, részint többször elhangzott már. A zárójelben felbukkanó
„újdonságról” pedig a [középiskolás
is elmondhatná a] következőket:
·
A CO2 egyszerű (gáz-)molekula, nem
pedig funkciós-csoport. [Ami
egy nagyobb-molekula része, s annak az adott helyen speciális-reaktivitást
kölcsönöz.]
Jóindulattal legfeljebb helytelenül írt karboxilát-anionnak
[-COO–]
vehetjük, ami a -COOH funkcióból képződik proton-vesztéssel.
·
A „COOH” és a „CO2H” egy és ugyanaz:
a karbonsavakra jellemző karboxil-csoport.
(Ami – az előbbivel –
a 6 tételes felsorlásban, immár háromszor nyert említést.)
Efféle a rendkívül-elemi botlásokon egy tudományos-kézikönyvben csak
úgy léphetünk tovább, ha soha nem feledjük: a józan kritikát mindig párosítsuk
a könyvbe-rögzített szöveg kijelentéseivel. E botlások meggyőzően bizonyítják
hogy a kompiláló szerzőnek nem otthona a kémia tájéka; emiatt a legnemesebb
igyekezete is félresikolhat: az általa közölt adatok/részletek gondosabb és
értőbb utóinterpretálást igényelhetnek.
[Éppen erre irányul az én
igyekezetem is… „Ó, Világmindenség, ki a
titkárod vagyok” (Swift)]
x)
A rögzült esetlegesség:
I: It should be emphasized
that the existence of a particular site for each cation is not easy to prove
because the metal may be bound to two or more ligands from different molecules. (p82)
F: Ki kell emelni, hogy bármely adott kation kötődési-lokációja helyileg
igen nehezen (ha egyáltalán) pontosítható, ugyanis nem ritka az eset amikor a
fématom két (vagy több) [véletlenszerű szomszédságú] különböző-molekula*
funkciós-csoportjaival mint komplexáló-ligandumokkal tart kapcsolatot.
* Rögzítve ezáltal (a kötődés átmeneti-időtartamára)
a makro-komponensek esetleges egymás-közelségébe sodródottságát.
H: Újabb lényeges adalék ez:
mind a „lehetőségek-tárháza” növelésére, mindpedig a történések és
állapotok „matematikai-kiszámíthatatlansága” mint alapvető ill.
áthidalhatatlan bizonytalanság tovább-fokozásához.
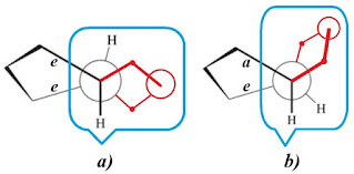
[A 38.ábra képies-formában
is segít a megértéshez közelebb hozni ezt az elrendeződést.]
xi)
Felvételi hókusz-pókusz:
I: The evaluation of several
experiments, however, elucidates that organic
matter in soils has a relatively low influence on the uptake of trace metals by plants. (p82)
F: Néhány kísérlet kiértékelése mindamellett arra utal, hogy a talaj
szerves-anyag tartalma csekély hatással bír a nyomelemek növények általi
[közvetlen] felvételére.
I: Much evidence indicates
that roots exhibit great activity in the mobilization
of trace elements that are bound by various soil constituents. Roots and
associated microorganisms are known to produce various organic compounds which
are very effective in releasing the trace elements from firmly fixed species in
soil. (p91)
F: Evidenciák sora mutat abba az irányba,
miszerint a növények gyökerei rendkívüli képességekkel rendelkeznek a különféle
talaj-alkotókba kötött nyomelemek mobilizálására. A gyökerek, a velük társult
mikroorganizmusokkal, a leg-különfélébb szerves-anyagok váladékát termelik,
amelyek azután rendkívül hatékonyan szabadítják fel a nyomelemeket a talajban kötött formáikból.
H: A két, egymásnak
látszólag ellentmondó idézet-részlet ekként békíthető össze: Vegyük igaznak
hogy a talaj humusz-anyagai közvetlenül nem képesek nyomelemeket
juttatni a növénybe, míg a gyökerek (váladékaik segítségével)
igen. A gyökerek azonban a nyomelemeket a „talajban
kötött formákból” merítik – amelyek közt ott sorakoznak a humusz-anyagok
által már feltárt (és
általuk/bennük ligandumaikkal megkötött) nyomelemek is.
xii)
Szabályozás és stabilizálás, forrás-képzéssel:
I: Cottenie et al. calculated
that the humic acid of a soil containing 4% humus may bind 4500 kg Pb, 17,929
kg Fe, 1517 kg Cu, 1015 kg Zn, and 913 kg Mn per hectare. The ability of humic
acid to complex with metals was also calculated by Ovcharenko et al. and
expressed in grams per kilogram of humic acid, as follows: Cu, 3.3; Zn, 3.3;
Co, 3.2; Fe, 3.0, and Mn, 2.6. All of
these values were determined under laboratory conditions; in a natural soil
system, these proportions would be appreciably smaller. Owing to the relatively insoluble complexes
of humic acids with heavy metals, especially in an acid medium, these
complexes can be considered to be organic storage
for heavy metals in soils. The
organic matter may act as an important regulator
of the mobility of trace elements in soils;
however, in the majority of mineral soils, organic matter does not exceed 2% of
total soil weight; therefore, it cannot be of the greatest importance in
overall controls of trace element behavior in soils.*
The environmental role of humic substances has been
summarized by the Dahlem Group of Experts as follows: “Humic substances appear
to exert a stabilizing effect on environmental processes, for example by
assimilation and subsequent slow release of chemical compounds, they act as a
reservoir of trace nutrients and contaminants. Chemical partition of chemicals
into humic substances results in a ‘buffering’ of the environmental mobility of
chemicals. Their function, however, as scavengers of pollutants is limited and
can be overtaxed. Care should be taken not to overload the system and to
prevent long-term damage which may not be apparent until remedial action
becomes difficult and perhaps impossible.” (p85)
F: Cottenie és társai számítása szerint a 4% humusz-tartalmú
talajban levő huminsav hektáronként 4500 kg Pb, 17,929 kg Fe,
1517 kg Cu, 1015 kg Zn, and 913 kg Mn fém-mennyiséget képes
[kelát-formában] kötésben tartani. A huminsav fém-komplexáló képességét Ovcharenko és társai is
számszerűsítették, kilogramm huminsavra vetítve a megköthető fém-mennyiség grammban
kifejezve: Cu 3,3; Zn 3,3; Co 3,2; Fe
3,0, and Mn 2,6. Mindezen számértékek laboratóriumi-körülményekre
vonatkoznak; valós talaj-körülmények mellett az értékek a fentieknél lényegesen
kisebbek. A nehézfémek humusz-komplexeinek a
meglehetősen csekély víz-oldékonysága miatt (amely a közeg savasságával tovább
csökken), ezekre az ásványokból már feltárt nyomelemeket ligandumaikkal
effektíve-rögzített fém-komplexekre úgy is tekinthetünk, mint szerves-anyag segédlettel tárolt nehézfém-FORRÁSokra.
A szerves-anyag tehát voltaképpen fontos SZABÁLYOZÓ-funkcióval bír a nyomelemek
talajbeli mobilitását tekintve. Megfontolandó ugyanakkor, hogy az
ásványi-talajok zömében a szerves-anyag tartalom 2 súly% alatti*; emiatt
kétségbe-vonható hogy meghatározó-szerepe lenne a talajok
nyomelem-tulajdonságai kontrollálásában.
A
humusz-anyagok környezeti-szerepét a Dahlem-csoport
szakértői ekként foglalják össze:
·
A humusz stabilizáló hatást fejt
ki a környezet folyamataira: feltárással [az ásványokból], majd lassú
elengedéssel [talaj-oldatba; más szerves-anyagok (köztük pl. a
gyökér-váladékok) fogadó-ligandumaik „karjaiba”] voltaképp tározók
és adagolók egyszerre.
Ilyen szerepkörben a „környezetvédelmi” arculatuk kettős: nyomelem-ellátók [az
élővilág egésze felé], és egyben „nehézfém” gyűjtőhelyek.
·
A felhalmozás és a lassú elengedés hányadosa által jellemzett
kémiai-megoszlás az egyes-vegyületekre [azok mozgása korlátozásával] puffer-tározóként hat.
·
Ennek a puffer-tározó képességnek azonban Természet-szabta korlátai/határai vannak, emiatt a túlzott
szennyezések teljes kiiktatására értelemszerűen limitációkkal bír.
·
Általában is óvakodni kell a rendszer túlterhelésétől, elkerülendő a
hosszútávon előálló sérülését, amely mire észlelhetővé válik, a korrekciója
nehézkes vagy éppen lehetetlen lesz.
H: Számszerű értékek
meglobogtatása mellett, megtudtuk hogy azok nincsenek köszönőviszonyban a
valósággal. Lehetne ez egy általánosabb-érvényű figyelmeztetés is: A
laborasztal-melletti együgyű-játék és a komolykodó számolósdi felsőbbrendűnek képzelt
tojakodását ki-ki hajlama és vérmérséklete szerint vegye komolyan. A lényeg
ugyanis egészen másutt van: A
humusz TÁROZÓ szereppel bír, és egyszersmind SZABÁLYOZÓ funkciót tölt
be a talajban, többek között a mikroelemek forgalma tekintetében is. Ami
a létfontosságú nutriensnek számító nyomelemek tekintetében a kellő
szintű/intenzitású adagolás automatizmusát
adja, a mérgezőnek számító „nehézfémek” esetében pedig azok pufferálás-általi
lassú ill. csökkentett-mértékű forgalomba-jutását intézi. Mindezekkel a működés
és stabilitás olyan széles/sokrétű feltételeit teremti meg, amely a talaj
elenyésző-hányadú (2-8%) komponensétől elképesztő teljesítmény.
Emiatt kiemelten fontos a humusz
jelenlétére, annak egészségére fokozottan ügyelni. Drasztikus hatásoknak kitéve
és túlterhelten a mennyisége lecsökken, minősége, ellenálló-képessége, funkciói
pedig romlanak. Amennyiben a talaj-humusz – figyelmetlenségből, vagy
melléfogások sorozata miatt – jelentékenyen sérül, a megkésett
korrekciós-beavatkozás rendkívüli erőfeszítéseket ill. áldozatokat kívánhat.
* Egy alapvető
butaságra a fent-idézett szövegben azért rá kell mutassak. Pusztán az hogy a
talaj-humusz szintje 2% körüli, nem alapvető akadály amely korlátozná pl. a
mikroelem-forgalmat.
Mint ahogyan nem akadálya a ki/bemenő
forgalomnak sem az, hogy a fallal körülvett erődítménynek csupán 1-2 kapuja van
(s ebből adódóan a fal/nyílás arány még 2%-nál is kisebb). Továbbá a házunkba
sem javallott a tetőbontás általi bejutás, pusztán attól az indíttatástól
vezérelve, hogy a kalkulus szerint a bejárati-ajtó tágassága a házfalhoz
viszonyított arányát tekintve a bűvös 2% alatt marad.
Sokkal inkább meghatározó a forgalom
összetettségére/változatosságára nézve (még jóval magasabb humusz % esetén is)
az, hogy a jelenlevő humusz vajon milyen
diverzifikáltságú.
S itt jönne a képbe az, amiről az eddig
köztudatba-emelt források nem adnak számot, de ami a Vízgazda elveiből és gyakorlatából
fakad: növényi
ÉS állati eredetű biomassza EGYÜTTES jelenléte és dinamikus KÖLCSÖNHATÁSA esetén áll csupán elő az a teljesség, amelyet minden
más elrendezés nélkülöz, a legkörmönfontabb mesterséges beavatkozások és
erőfeszítések ellenére is.
S ennek a kémiai-háttere
is rendkívül plauzibilis: Koncentrációját tekintve az állati-eredetű szerves-anyagban [ürülék] sokkal több a nitrogén, kén és foszfor, mint a
pusztán növényi-anyagokból származóban. Ebből fakad, hogy az állati ürítményekből
és azok bomlástermékekből kialakuló humin-anyagok szerkezet-gazdagabbak,
kelációra-képes szerkezeti-részletekben jóval változatosabbak. Az elektron-donor
oxigén atomok mellett [hidroxil, karboxil, keto, éter, észter, lakton funkciók
bírnak ezzel] a P/S/N donor-atomokkal bíró változatos funkciós-csoportok olyan
finom-hangolású sztérikus és energia-szintű átmenetek lehetőségeit képesek
generálni, amelyek nélkülük megvalósíthatatlanok.
xiii)
Eloszlás, toxicitás, tolerancia.
I: The distribution and accumulation patterns of trace
elements vary considerably for each element, kind of plant, and growth
season. A
relatively common phenomenon, however, is the accumulation and immobilization of trace metals in
roots,
especially when their metal supply is sufficient. (p94)
F: A nyomelemek eloszlása és felhalmozódása rendkívüli változatosságot
mutat az elemek, a növényfajták, de még azok fejlődési-stádiumai tekintetében
is. Meglehetősen gyakori az az elrendeződés,
amely által a nyomelemek a gyökerekben halmozódnak fel immobilizált-formában, kiváltképp az adott fémion bősége esetén.
I: Metabolic disorders of plants are affected not only
by micronutrient deficiencies, but also by their excesses. In general, plants
are much
more resistant to an increased
concentration than to an insufficient
content of
a given element. (p102)
F: Metabolikus
rendellenességeket nemcsak a mikro-tápanyagok hiánya, de azok túlzott bősége is
előidéz a növényekben. Általánosságban igaz, hogy míg a növények a többlethez
valamiként alkalmazkodnak, a szükséges nyomelem hiányát jobban megszenvedik.
I: Microorganisms can very rapidly develop mechanisms of tolerance to
excesses
of trace metals. Fungi are usually more resistant than bacteria. Toxicity of trace metals to microorganisms
and microbial processes in agricultural soils has been extensively reviewed by
Giller et al. The authors emphasized that the results of numerous laboratory ecotoxicological
studies are the most difficult to meaningfully extrapolate to evaluate data on toxic
effects that are likely to occur in the field. (p108)
F: A mikroorganizmusok [viszont] rendkívül gyorsan fejlesztik ki a saját
alkalmazkodó-mechanizmusukat a feleslegben levő nyomelemek tolerálására.
A gombák e tekintetben ellenállóbbak a baktériumoknál.
A nyomelemek toxicitása kimerítő áttekintését adták Giller és társai mikroorganizmusokra és mikrobiológiai-folyamatokra
mezőgazdasági-talajokon. Kiemelték, hogy számos laboratóriumi ökotoxikológiai
vizsgálat értelmezhetetlen és átvihetetlen abban az értelemben, hogy
vajon milyen/mekkora lenne a terepen megvalósuló toxicitás.
H: Az ijesztő-mértékű
variabilitás mellett is, láthatjuk, van rendező-elv: Felveszi ugyan az
életfolyamataihoz nem-szükséges (alkalmasint „mérgező”) nyomelemeket is a növény, de rendszerint
a gyökereibe építi.
Ahonnan, a majdani lebomlás által, visszatérnek a
talaj mikro-faunájába (amelyek, fenti megállapítás szerint is, jóval kevésbé érzékenyek a
túladagolási ill. mérgezési tünetekre), immár feltárt nyomelem-formákkal gazdagítva azok
jövőbeni forrásait.
Ahonnan tehát
nem jutnak a magasabban-szervezett élőlények táplálékláncába: virtuálissá téve
ezzel megannyi hipotetikus „ökotoxikológiai” fenyegetést. (Szülessenek azok akár
Petri-csészében, akár kontrollálatlan agy-impulzusokból kávés-csésze mellett)
Valóságos korlátozó-tényező lényegében csak [tényleges] nyomelem-hiány esetében
áll elő. Efféle azonban – mint azt IV.)A.)4.) alatt láthattuk –
hazánk művelés alatt álló területein nem áll fenn.
·
A megtapasztalt hiány eredete [ld. „denudáció”: IV.)A.)6.) alatt]
feltárási-nehézségekre vezethető vissza. Amit részben a humusz mennyisége
csökkenése, állaga szimplifikálódása, valamint az ezekhez vezető
műtrágya-túlhasználat idéz elő. S melynek egyedüli hatékony orvoslása a teljes-értékű
alomkomposzt-használat, a műtrágya-kihelyezések
elhagyása mellett.
·
Virtuális denudáció állhat elő helytelen talajművelési gyakorlattal is:
A szántás és a mesterséges-öntözés a talajok felső-rétegére korlátozza a
hatóanyag-felvételt, miáltal azok kiürülése fokozottá válik.
Kiváltképp azzal a bevett gyakorlattal, hogy az
onnan elszállított termények anyagai (benne a nyomelemekkel) az
élelmiszer-stádiumot követően a közcsatornákon összegyűjtve (bizonyos
eufemizált, ám nemcsak felesleges de hihetetlenül káros folyamatok erőltetését
követően, a Szennyvíz-ipar által) az
élővizekben végzik: jelenlétükkel szennyezési-kárt
okozva ott, kimerülési hiány-kárt
pedig az eredeti talajokban.
Az egésznek elejét veheti a
nagybani mezőgazdaságot új, fenntartható alapokra helyező TMMG eljárás, amely kellően megválasztott köztes-termékeivel a
talaj mélyebb rétegeiből hozza fel a tápanyagokat és nyomelemeket, amik a
köztes-növény lebomlásával immár a feltalajt gazdagítják.
2.) Próbakő
A fentebbi i)-xiii) alatt sorolt szakirodalmi
„szentenciák” – kellő érlelés nélkül – tűnhetnek „nesze semmi fogd meg jól”
típusú eligazításoknak, a variabilitások mérhetetlen-sokaságú választéka
fedezéke mögül. Hasznos lehet hát, ha a fenti műből kölcsönzött 5. ábrához, mint példához, értelmező sorokat fűzök:
a) Mind a
4 fém esetében az eredetileg talajalkotó-nyomelem
felvétele a jobban-szabályozott: a mindenhol meredekebb
egyenessel reprezentált mint p.
Tanulság: Hagyatkozzunk a talaj forrásaira (arra építsünk), hogy a
növény
[külső-segítség nélkül] elkerülhesse a „túllépéseket”.
b) Minden vitális nyomelemhez rendelhető egy a
növénybe-épülő minimális-koncentráció.*
Itt ez az ordináta tengely-metszetéről leolvasható: Cu~7 ppm, Zn~40
ppm, Ni~4
ppm. Amihez akkor is tartja magát a növény, ha a talaj abból hatalmas
fölösleget kínál. Azaz, rendkívül erős beépített-szabályozással bír a növény
azon specifikumokra amiktől a léte függ**.
* Természetesen,
ehhez szükséges hogy a talaj is rendelkezzen valamennyivel.
[Amit az ábrázolás éppenséggel elnagyol.]
** Ez nyilvánvalóan hosszú evolúciós-fejlődéssel
állt elő. – Csoda-e, ha (nagy-hirtelen) nem vagyunk képesek (szilánkokra „szakosított”
szemüvegeken át) követni a hogyan és
miért távolba-nyúló kacskaringóit?
c) A nem-esszenciális Cd esetén b)
nem áll: a felvétel a szemtermésben is emelkedő. A felvétel tompítása ugyan jelentős, ám az
emelkedő-linearitás azt sugallja hogy itt hiányzik néhány fék a
leszabályozásból. Ennek oka feltehetően az, hogy erre a kémiai-elemre nem-rendelkezik
kiforrott kezelési-mechanizmussal a növény, két okból is: számára az elem nem-szükséges;
az elem előfordulása pedig meglehetősen esetleges.
d) Minden
esetben megfigyelhető, hogy ha a növény nyomás alatt áll [nagy a
nyomelem-készlete ill. kínálata a talajnak] akkor a raktározásban hangsúlyosabb
szerepet kap a növényi szalma.*
* Ami (okszerű
műveléssel) visszakerül a talajba: lebomolva beépül a feltalaj
humusz-tartalmába, a beleépített nyomelemekkel együtt – kiiktatódva ekként a
szemes-terményre épülő táplálékláncból.
Hasonló puffer-tározóként viselkedik a gyökérzet is
– amelynek további sorsa ugyanaz mint a helyben-maradó és lebomló növényi
szalmáé.
Vegyük ugyanakkor figyelembe, hogy a
növényi-változatosság sok egyéb érdekességet produkál.* Így valószínű, hogy
bizonyos itt észlelt szabályozások kevésbé igazak más esetben; de az sem kizárt
hogy az itteni kivétel szélesebb-viszonylatban kevésbé általános.
* Léteznek olyan
növényi fajok, amelyekre nemcsak hogy nem hatnak mérgezően a szélesebb
élővilágban általában mérgező nyomelemek [és emiatt az előzőekben leírt szabályozások
szerint ezen „mérgeket” úgy veszik magukhoz mint a kommerszebbek a vitális mikro-tápelemeket],
de egyenesen felhalmozzák azokat (nemritkán a föld-feletti) szöveteikben.
Ezekre a növényekre és tulajdonságaira alapozható az a talajtisztítás, amely más
módszerekkel szinte keresztülvihetetlen: A kultúrnövények termesztésére
veszélyeket rejthető, magas-koncentrációban jelenlevő nehézfémek a talajból
velük távolíthatók eredményesen el; a tágabb módszer neve: fito-remediáció.[28]
3.) További
mankók
a) Gyökérváladékok
Esett már szó arról, hogy a növények
gyökerei alkalmasint igen sokféle, eltérő természetű, nemritkán
egzotikus-felépítésű vegyületeket bocsátanak ki a talajba. Egy tankönyvvé
kristályosodott hazai forrás[29]
ezekről így szól: „A gyökerekben SZÁMOS anyag képződik és adódik le, amely befolyásolja a tápanyagok oldhatóságát és
felvételét. Ilyenek… a szerves savak, foszfatázok, aminosavak, cukrok, fenolok
és nyálkaanyagok. A kibocsátott szerves
savak közül kiváltképp a
citromsav szerepe fontos, ugyanis
különösen hatékonyan szabadítja fel a foszfort meszes talajokban*”
*
Felületesség [vagy kémiai-diszlexiára utaló
jel] megint.
A citromsav nem „szabadítja
fel” a foszfort. A citromsav [anionja, a talajt savanyító
proton-leadás után] kelációs-komplexének kötésébe vonva elragadja a
vas-kationt a (vízoldhatatlan, emiatt a növény számára közvetlenül hozzáférhetetlen) vas(III)foszfátból
[azáltal
mert nagyobb a vas-citrát un. „stabilitási-állandója”]. Ennek
következtében, a hátramaradt foszfát-anion [az egyszerűsítés kedvéért párosítsuk
most a citromsav által előbb leadott protonnal], mint vízoldékony foszforsav, is azonnal
felvehető állapotba kerül.
De, persze, újra meg is kötődhet – ha
éppen a talaj-régió mikrokozmosza dúskál vas(III)oxid ásványokban.
„A tápanyagok hiánya általában serkenti a különböző anyagok
leadását a gyökérből.*”
* Ez,
megrágatlanul, önellentmondás. Értelmet csakis azáltal nyer, ha mellétesszük: önszabályozó-képességű rendszerről
van szó.
Amire csak „élő” ill.
magasan-szervezett felépítmény képes. Ezek működését kell tehát segíteni,
zökkenő-mentessé tenni [hogy ne csak „általában” legyen igaz].
|
Éspedig Vízgazda-elvű
gyakorlati-kiegészítésekkel: |
b) A
kőzetek biológiai eróziója
Szót kell ejtenünk egy eddig explicite
még nem tárgyalt tényezőről. Nevezetesen arról, hogy az ásványi-kőzetek
feltárására – másnéven: eróziójára; amelyet követően annak nyomelem-tartalma
bizonyos-részletei a felvehető-formák közelségébe kerülhetnek – a szélesebben
ismert fiziko-kémiai tényezőkön túl a növényvilág kevésbé-ismert erői is
képesek.
Tudvalevő, hogy a hőmérséklet ismétlődő
(nappali/éjjeli
ill. téli/nyári) ingadozásai hatására a kőzetek
kitágulva/összehúzódva repedéseket szenvednek. Az ezekbe behatoló víz (megfagyása
általi térfogat-növekedése repesztő-hatásaként) a
kezdeti-repedéseket tágítja/mélyíti, ami előbb-utóbb a kőzet bizonyos-mértékű
aprózódásához vezet. Ezekhez a fizikai-folyamatokhoz járul a levegő és a víz
közvetítette O2 és H2CO3 oxidáló ill. savi oldó-hatása az aprózódó-kőzet
megnagyobbodott-felületén, mely kémiai-változások továbbviszik az eróziót:
elérhetőbb állapotúra alakítják az eredeti-kőzet egyes kémiai-elemeit.
A biológiai-erők – ha rejtettebben is –
hasonló tettekre képesek; néha többre is.
Kétségtelen, hogy a közgondolkodásban nagyobb
súlyt kapó növények többsége kívánja a kész talajt [melyet tehát az
előbb leírt fizikai és kémiai erők alakítottak ki, évmilliók alatt], ám ma is léteznek olyanok amelyek képesek „a jég
hátán is megélni”. Ezeket szokás pionír-fajoknak
nevezni. Közülük, a tudomány világában a zuzmók
vizsgálata került előtérbe; alább az ottani megállapításokból idézünk[30] [I: idézet; F: fordítás; H:
magyarázat ill. hozzáfűzés]:
i) Miért
éppen a zuzmók?
I: „Unlike the situation in soil, where there are
more complicating and interacting factors, the zone of contact between
saxicolous lichens and their rock substrate provides an ideal environment for
studying the biological weathering of minerals.”
F: A talajoktól eltérően – aholis számos
komplikáló és kölcsönható folyamat bonyolítaná a biológiai-erózió felismerését
és nyomon-követését – a kövi-zuzmók és a nyers szikla-felület érintkezési-zónája
ideális környezet a folyamat tanulmányozására.
ii) Mi is
történik?
I: „intimate adhesion of lichen thalli to the
rock surface and the hyphal penetration in less coherent areas of the rock
cause a physical disaggregation and fragmentation of the mineral surface.
Chemical weathering is essentially due to the excretion of organic acids.”
F: A zuzmó intenzíven megtapad a nyers
kőzet-felületen, majd ezt követően [„gyökér-jellegű”] gombafonalai behatolnak a
kőzetbe annak sérültebb-tájékain, ami [végül] a tömör-kőzet felületének a
fizikai dezintegrálódásához vezet. A zajló kémiai-erózió elsőrendű kiváltói a
váladékként előálló szerves savak.
iii) Mik
erre a bizonyítékok?
I: „The presence of calcium, magnesium, manganese
and copper oxalate crystals at the rock–lichen interface and in the lichen
thalli suggests that oxalic acid, secreted by the mycobiont, is one of the most
active agents of chemical alteration. The
involvement of the so-called ‘lichen acids’, a group of mainly polyphenolic
compounds, as bioweathering agents has been only recently well documented.”
F: Kristályos Ca, Mg, Mn, Cu oxalátok, mind a zuzmó-kőzet határfelületén mind a zuzmó anyagában,
arra utalnak hogy a gombaszövet által termelődő oxálsav egyike az
eróziós-folyamatban legaktívabban ható kémiai-ágenseknek. Ugyanakkor, az un.
„zuzmó-savak” (zömmel poli-fenolos
vegyületek) biológiai-eróziós ágensekként való közreműködése is kezd mindjobban
dokumentálttá válni.
H: Az oxálsav a Természetben előforduló
legerősebb karbonsav, erőssége megközelíti az un. ásványi-savakét. Savas
feltáró-képessége mellett anionja erős ligandum is. Eróziós hatékonyságában
azonban így sem nélkülözheti egyéb kelátképzők [polifenolok] asszisztenciáját.
iv) Mechanizmus
és további részletek:
I: „fungal hyphae penetration and thallus expansion
and contraction (a consequence of the wetting and drying of its gelatinous or
mucilaginous substances) are the most important mechanisms involved in physical
weathering. The excretion by the mycobiont of low molecular weight organic
carboxylic acids, such as oxalic, citric, gluconic, lactic acids, with combined
chelating and acidic properties, and the production of slightly watersoluble polyphenolic
compounds called ‘lichen acids’, able to form complexes with the metal cations
present in the rock-forming minerals…”
F: A gombafonalak kőzetbe-hatolása, majd azok
duzzadása és összehúzódása (ahogyan a környezet változó vízellátottsága
következtében annak zselatinszerű anyaga viselkedik) a legfontosabb tényező a fizikai-erózió előidézésében. A gombaszövet által termelt és váladékként
kibocsátott egyszerűbb karbonsavak, mint oxálsav, citromsav, glükonsav, tejsav,
mely savak mindegyike egyben komplexáló-tulajdonságokkal is bír, valamint a
vízben kevéssé oldódó polifenolos vegyületek („zuzmó-savak”), egyaránt képesek
a kőzetalkotó fém-ionokat [a kőzet anyagából kiszakítva] fém-kelátokként
kötéseikbe vonni. [Ez utóbbi folyamat tehát a biológiai-erők által kezdeményezett kémiai-erózió.]
H: A zuzmók általi fizikai-erózió mechanizmusa
alapjaiban más, mint a víz fagyása-olvadása által előidézett.
·
Egyrészről, az erózió általuk intenzifikálódik:
1) A régió nedvességtartalma egy év
alatt lényegesen többször változik mint ahány fagyás-olvadással számolni lehet;
2) A kőzetbe-hatolt gombafonal
duzzadása-kiszáradása általi térfogatváltozás
[a tulajdonképpeni repesztő-effektus] nagyobb-mérvű a víz/jég fázisváltással
bekövetkezőnél.
·
Másrészről, ott is működőképes ahol nincs az év
folyamán fagy.
A zuzmók
általi biológiai-erózióban szereppel
bíró, sorolt vegyületek közt több olyan is található amely szerepel a
kommerszebb növények gyökérváladékaiban is. Így nem kizárt, hogy az i)
alatt jelzett észlelési-nehézségek ellenére, a biológiai-kőzetfeltárás sokkalta
általánosabb jelenség mint eddig hittük.
4.) Értelmezési-segédletek
Az eddigi szöveges-előadásmód jó-esetben hagyott maradandót a figyelmes
olvasóban, de meglehet hogy a java úgy ment át rajta mint nyári-napokon a sör.
A tartósabb megértéshez és rögzüléshez – vélekedésem szerint – szükséges a képies-rögzülés. A következőkben azon
leszek hogy effélékkel szolgálhassak.
A felhozott ismeretek többsége az
egyetemi szerveskémia-oktatás alapkurzusai
része, illetve ezekből levezethető/felépíthető. Emiatt a szakirányú-vegyészek
számára a felvonultatott alap-ismeretekben nincs újszerű elem, azonban a belőlük
deriválható, és a talajban végbemehető folyamatokra vonatkozó következtetések
mindenféleképpen ilyenek. A nem-vegyész érdeklődők, valamint a kémiával csupán „ipi-apacs” érintkezésben levő, más
területeken szakértősködők számára azonban elengedhetetlenül fontos a mutatott
részletek mentén a betekintés a konformáció-analízisbe, hiszen csakis ezek
által lehet megfogható azon ismeretek töredéke, amelyek valóban igazgatják a
talajokban a kémiai-elemek forgalmát és felvehetőségét, beleértve a nyomelemekét
is.
Ez lenne tehát a kívánatos multi-diszciplinaritás. Amely [jelen esetben]
a Kémia már meglevő ismeretanyagai
értelmező-bevonásával derít fényt a Talajtani
meggondolások számára. – Szemben a fellengzősen és gyakorta szajkózott inter-diszciplináris kutatások definiálatlan
megfogalmazásaival és ködbevesző vágyálmaival, amelyek eredmény-hozadékára
sokkal inkább jellemző (a lá „inter”) a két szék között a pad alá esés.
a) Keláció
és következményei:
Azonos elektron-donor képességű atomok ill. funkciós-csoportok
esetén a többfogú-ligandum mindig stabilabb komplexet
képez az adott fématommal mint az egyfogú:
ld. 6. ábra. Ebben áll a kelát-képződés
erőssége. Ezáltal képes a szervetlen sókból (és ásványi-kőzetekből) magához
ragadni a fémiont a kelátképző-adottságokkal
felruházott (azaz: több-ligandummal bíró, poli-funkciós) molekula. Egyfogú ligandumokként hatnak a
szervetlen anionok [L= OH–,
Cl–,
CN–,
NO3–
stb.], a többfogúak pedig a poli-funkciós
szerves-molekulák végtelen sokaságából kerülnek ki.
A kelát-struktúra tehát mindig „gyűrű” kialakulásával jár, ahol a
gyűrűt alkotó atomok a ligandum karjaiban levők, a lánc tagjaként az általuk
komplexált M fématommal. Szerkezetileg legstabilabbak az 5 ill. 6 atom
lánc-kapcsolatából álló gyűrűk. Az ezekből adódó komplexálási-lehetőségek
áttekintéséhez és vizsgálatához ismernünk kell az ilyen gyűrűket reprezentáló ciklopentán és ciklohexán térszerkezeti-megvalósulásaira [konformereire] vonatkozó alapismereteket.
b) Hibridizáció
és kötés-elrendeződés:
A papír
mindent kibír „igazsága” vonatkozik a kémiai szerkezeti-képletek ábrázolására
is. A papírlap síkján visszaadni – ha lehet, minél érzékletesebben – a
térben-megvalósuló elrendeződését a molekula egészének, de akár csak egy
kiemelt részletének is, nem egyszerű feladat; a legtalálékonyabb ábrázolás-módok
mellett is igényel bizonyos térlátást. Ezek szem előtt tartásával invitálom az
idetévedteket az alanti ábrákhoz, a belőlük-fakadó kényszerűségek és
következmények felismeréséhez és nyomon-követéséhez.
A 6 C-atomos gyűrű téralkatára nézve
meghatározó, hogy a gyűrűt-alkotó szénatomok közt milyen kötés létesült:
· Ha az atomok közt ez szimpla kovalens-kötés [azaz: a legfelső elektronhéj gömb-szimmetrikus
s
pályáján és 3 db egymásra-merőleges henger-szimmetrikus p pályáján levő
elektronok pálya-kombinációjából létrejövő sp3 hibrid-állapotú
C-atomok un. s kötése], akkor a téralkat nem lehet sík. Ugyanis az
ilyen-állapotú C-atom 4 kötés létesítésére képes, amelyek [a kölcsönös-taszítások
energia-minimumra törekvése következtében] egy
tetraéder csúcsai felé mutatnak, azaz egymással ~109,5o-os
szöget zárnak be: ld. a 7. ábrán. Ez a
kötés és irányultság valósul meg az etán,
a víz, az ammónia molekulákban, és a ciklohexán
alkatában is: ld. a 8. ábrát.
· Ha viszont mind a hat gyűrűt-alkotó C-atom
un. sp2
hibridizációjú [azaz: s, px, py pálya-összetevőkből
jön létre], akkor az egyes szénatomok csupán 3 db
kovalens (s típusú) „vegyértékkel”
bírnak. Az ezek által létrejövő kötések egymással 120o-os szöget zárnak
be, és egyazon-síkban helyezkednek el: ld. a 7. ábrán, alul. [Ez is a fentebbi energia-minimumra
törekvésből adódik.]
Erre a síkra merőleges a harmadik, az előbbiekben nem-hibridizált pz
pályából kialakuló, „kettős-kötéshez” vezető, un. p kötés.
Ennek
megfelelően alakul az etilén, a karboxil-csoport (-COOH), vagy éppen a benzol sík-alkata [ahol a
szomszédos p kötések 6 db
elektronja további delokalizációjával jön létre a rendkívül-stabil un. aromás-gyűrű]: 8. ábra.
Gyűrűs elrendeződésben tehát 6 db sp3
szénatom a ciklohexán cikkcakkos
struktúrájához vezet, míg 6 db sp2 szénatom a sík-alkatú
benzol molekulát adja: ld 8. ábra. Érdemes
még észben-tartani (a továbbiak alaposabb megértéséhez), hogy sp3
szerinti térszerkezetű a H2O és NH3 nyomán a hidroxil- (-OH)
és az amin- (-NH2, -NR2)
funkció [a donor-atomok magános-elektronpárja(i) révén], míg sp2 szerinti sík-alkattal
bír az etilén-alkat, a karbonil (>C=O) és a karboxil- (-COOH) funkció.
8. ábra: sp3 és sp2
típusú szerkezeti-elemek
c) A Ciklohexán
konformációi, alap-effektusok:
i) Szék/kád-forma; axiális/ekvatoriális-pozíciók
A molekula dominánsabb szék-formája
~6,5 kcal/mól értékkel stabilabb a kád-formánál: ld. 9. ábra. [Az átalakulásnak vannak köztes-formái („fél-szék”, „csavart-kád”) amelyek itt érdektelenek.]
A szék°kád kisenergiájú átmenet így utat biztosít a két
(egymással tükörképi) szék-forma közt
megvalósulható átalakuláshoz. A szék-formánál
megfigyelhető, hogy a gyűrűhöz kapcsolódó atomok/atom-csoportosulások [szubsztituensek] térállása jellegzetesen kétféle lehet: a 6-tagú
gyűrű képzeletbeli-síkjára merőleges (axiális), vagy éppenséggel a síkhoz
közelálló (ekvatoriális). A szék°(kád)°szék (kevéssé-gátolt) átmenettel így az eredetileg axiális szubsztituensek ekvatoriális pozíciókba mennek át, és
viszont: ld. 10. ábra.
ii) A sztérikus effektus
1 db metil [-CH3] szubsztituens
esetén a szék°szék átmenetből előálló két konformer között lényeges
stabilitási-különbség van. A dinamikus-átalakulás egyensúlyában az
ekvatoriális-pozíciójú metil-csoporttal bíró konformer van túlsúlyban, az az energetikailag
kedvezményezettebb (1,8 kcal/mól-lal): ld. 11. ábra.
11. ábra: Az ekvatoriális -CH3
kedvezményezettsége
Az ok az axiális-helyzetű metil-csoport
(egyik) hidrogénatomjának a túlzott térbeli közelsége a szék-alkat ugyanazon
térfelén levő két db axiális H-szubsztituenshez. Az egymással
kémiai-kötésben nem-álló, ám a térben túlzott-közelségbe kerülő atomok kölcsönhatásából
adódó taszító-hatás [szakszóval: non-bonded
interaction] miatt az ilyen állapot/konformer
kevésbé stabil. Számos más elrendeződés (és természetesen minden egyéb
szubsztituens) esetén is felléphet ilyen taszításból eredő destabilizáló sztérikus
hatás.
iii) Az anomer effektus
A sztérikus-hatásokat
megbonyolíthatja, ha mellette elektronikus-effektusok
is fellépnek. Ilyen helyzet áll elő, ha a 6-tagú gyűrű magános-elektronpárral
rendelkező hetero-atomot is tartalmaz [N, O, vagy S], s ugyanekkor a gyűrű hetero-atomjával szomszédos C-atomhoz
pl. -OMe
(de akár a szimplább -OH) szubsztituens csatlakozik. Az
ekkor fellépő anomer-effektus, az 12. ábrán mutatottak
szerint [ahol a hetero-atom oxigén – miáltal a 6-tagú gyűrű neve pirán-váz], túlkompenzálja
a pusztán sztérikus-effektus alapján várt kedvezményezettséget: általa az
axiális -OMe szubsztituenst tartalmazó konformer kerül túlsúlyba.
A jelenség atom/molekula-pálya kölcsönhatásain
alapuló magyarázatát a 13. ábra szemlélteti.
A gyűrűbe-kötött (s emiatt rögzítettebb) O-atom
körüli magános-elektronpárok [melyek a környezet legmagasabb energia-szintű (tehát legaktívabb) betöltött pályáját adják: „HOMO” = Highest Occupied Molecular Orbital] mélyebb energia-állapotba kerülhetnek, amennyiben
mozgásukhoz nagyobb tér-szegmens biztosíttatik. Az ehhez szükséges, két-atomra kiterjedő pálya akkor állhat
elő, ha az -OH szubsztituens axiális-pozíciót foglal el. Ekkor ugyanis
kínálkozik az ábrán ]‑val megjelölt C-O kötés legalacsonyabb betöltetlen
pályája (s*) kötésre-alkalmas nagyobbik-nódusza [„LUMO” = Lowest Unoccupied Molecular Orbital] az
átlapolásra. [Ami tehát értelmezhető egyfajta intra-molekuláris
HOMO–LUMO kölcsönhatásként.] Hasonló (kiterjedtebb pályát eredményező) átlapolás [az O-atomhoz lokalizált nem-kötő magános-elektronpár (n)
pályája és az üres (tehát rendelkezésre-álló) s* molekula-pálya között] ekvatoriális -OH pozíció esetén nem jöhet létre a
kedvezőtlen térállások következtében, a gyűrűbe-kötött O-atom semelyik magános-elektronpárjával
sem. [Melyek
irányultsága – miként az jelen alfejezet b) pontja alatt elmondottakból
következik – tetraéderes].
13. ábra: Az anomer-effektus mögötti hiperkonjugáció
Az ilyen jellegű nªs* részleges-kötésből
adódó stabilitás-növekedés neve hiperkonjugáció; maga a több-atomra
kiterjedő elektron-eloszlás általi mélyebb energia-állapot felé törekedés
folyamata pedig a delokalizáció.
Mivel a kvantumkémiai ab initio számításokkal nyerhető „valódi” molekulapályák felől a
fenti-típusú indoklások gyakran kapnak kritikát (miközben maguk előrelépést nemigen
hoznak), helye lehet az anomer-effektus más-alapú magyarázatának. Igen kézenfekvő ezek közt
a molekulán-belüli dipólusok összevetésén alapuló: ld. 14. ábra.
Fenti
molekula két dipólus-centruma [a 2 db O-atom – lokalizált, nem-kötő (n)
elektronpárjai révén] ekvatoriális -OH
esetén egymást taszítja, míg axiális -OH esetén nem. Az axiális -OH
pozíciójú konformer tehát stabilabb; amit makro-viszonylatban az jellemez hogy
a molekula eredő dipólus-momentuma is
minimalizált.
iv) Egy élő
példa
Lássuk, mire lesznek alkalmazhatók a
fenti tudás-részletek.
A Természetben
igen sok helyen (és jelentős tömegben/gyakorisággal) fordul elő a D‑glükóz molekulája. Leszámítva az
élettani-funkcióit, valamint azt hogy a táplálékainkat adó fő szénhidrát (keményítő) és a rostos növényi-anyagok
jelentős része (cellulóz) belőle mint
monomerből épül fel, a megelőzőekből már azt is tudjuk hogy a nyomelemek
felvételéért felelős gyökérváladékok között is megtalálható. A nyomelem-felvevő
ill. közvetítő képessége tehát a molekula kelátképzési adottságain és a
konformerei által támogatott lehetőségeken múlnak. Ezekről képet alkotandó
szükséges a betekintés a valódi térszerkezetébe. A 15. ábra szemléltet egy rakás szerkezet-ábrázolást ugyanazon
molekulára [figyelemmel arra is, hogy un. belső fél-acetál
képződéssel a valóságban (pirán-vázas)
gyűrűs-állapot alakul ki]:
15. ábra. D-Glükóz:
szerkezet-ábrázolások
Nem kétséges, hogy a rögzített-konvenciók
helyes értelmezésével és következetes alkalmazásával – folyamatról-folyamatra –
bármelyik felírás alkalmas egyértelmű állapot rögzítésére; mégis, a ciklohexán szék-alkatát
a középpontba helyező ábrázolás az amely láttat is. Pl. általa könnyűszerrel
észrevehető, hogy az anomer-kedvezményezett
1C-axOH- konformer nem válthat át szék°szék átalakulással a sztérikusan-kedvezményezett 1C-eqOH- konformerbe, mert ezáltal a nála
nagyobb térigényű és sztérikusan éppen kedvezményezett 5C-eq6CH2OH-
szubsztituens axiális-pozícióba kényszerülne. A glükóz molekula sajátossága,
hogy a 1C-axOH- ° 1C-eqOH- váltás mégis lehetséges. A
folyamat a cukor-molekula un. fél-acetálja gyűrű-felnyílása, a szabaddá-vált
aldehid-csoport (‑CH=O) 2C-1C
s kötés
tengely-körüli nem-gátolt elfordulása, majd ismételt fél-acetálba záródás
lépéseken át zajlik. Az egyensúlyi-reakció elnevezése mutarotáció, s a 16. ábrával szemléltetett. Az anomer-effektus léte nyilvánul
meg a glüko-piranóz végállapotok 36:64 arányaiból – amely (számítások
szerint) 11:89 lenne ha csupán a
sztérikus-faktor nyomna a latban.
De hogy ne legyen ennyire egyszerű a helyzet, arról gondoskodik a
molekula-szerkezetből eredő flexibilitás. A glükóz 1C centrumon levő
aldehid-csoportja nem kizárólag az 5C atomhoz kapcsolódó -OH
funkcióval képes 6-tagú gyűrűs fél-acetált (pirán-vázat)
képezni, de alkalmas erre a 4C pozícióhoz kapcsolódó -OH
csoport is. Ekkor viszont 5-tagú a létesülő fél-acetál gyűrűje (a kialakult
szerkezet pedig glüko-furanóz: ld. 17. ábra), mely szerkezet visszaterel bennünket az 5-tagú
alifás gyűrűs-szerkezetet reprezentáló ciklopentán
struktúrái megismeréséhez.
d) A Ciklopentán-struktúra:
A ciklopentán
molekulájáról a geométer azt vélné hogy az sík-alkatú kell legyen, hiszen a
szabályos ötszög szomszédos-oldalai egymással 108o-os szöget zárnak
be – ami csaknem azonos az sp3 állapotú C-atom
s kötései
109,5o-os irányultságával; tehát a szög-torzulásból adódható molekulán-belüli
feszültség minimálisnak tűnik. A téralkat alakulásába azonban beleszólnak a
gyűrű C-atomjaihoz kapcsolódó H-atomok is, amelyek viszont
sík-alkatú gyűrű esetén egymással mind un. „fedő-állásba”
kerülnek – aminél létezik energetikailag kedvezőbb elrendeződés is.
A térlátás elősegítését nagyban elősegíti az un. Newman-projekciós ábrázolás, melyre a továbbiakban is támaszkodni
fogunk egy-egy mikro-környezet pontosabb térszerkezete megítélésekor. Két
szomszédos (egymással s
kötésben álló) sp3 állapotú atomhoz kapcsolódó 3-3 szubsztituens
elrendeződése végleteit szemlélteti [az etán
molekula példáján keresztül] a 18. ábra:
A non-bonded
interaction taszító-erői nyilvánvalóan a fedett-állásban a legnagyobbak. Ez a kötő-atomok s 1C-2C
kötés-tengelye körüli elforgásával csökken, s a legkisebb molekulán-belüli
taszítás a nyitott-állásban lesz.
Ha mind a 6 szubsztituens H-atom,
akkor a fedett-állás 2,9 kcal/mól értékkel instabilabb a nyitottnál. A
fedett vs. nyitott állások közti energetikai-különbség a szubsztituensek
méretével természetesen nő.
Azt hogy mennyire hasznos ez az ábrázolásmód, példázza a 19. ábra a fentebb már diszkutált ciklohexán kád és szék alkata Newman-projekciós
szemléltetése, mely alapján a fentebb-tárgyalt sztérikus-effektus [azaz: az axiális-pozíciójú nagyobb-térigényű
szubsztituens kedvezőtlen irányultsága] sem kíván bővebb magyarázatot.
19. ábra. A ciklohexán 2 fő konformere [a) kád, c) szék]:
Newman-projekció szerint [b), d)]
A ciklopentán-váz
sík-alkattal szembeni kedvezőbb energetikai megvalósulásait a 20. ábra foglalja össze. A mindenütt fedett H-atom
állású sík-alkat helyett a valóságban a boríték ill. a csavart konformerrel kell
számolni. Ezek által nemcsak a H-atomok fedett-állású helyzetei
nyernek enyhülést, de a sík-alkatból adódó 108o is szétnyílhat a
legkedvezőbb 109,5o-ra.
A boríték-konformer
szubsztituens-irányulásai pontosabb érzékeltetését a 21. ábra adja, Newman-projekcióval.
e) Keláció
és anelláció
Fentiek birtokában már nekifeküdhetünk
összerakni a képet.
Tudjuk hogy a kelátképzéshez (legalább)
2-fogú ligandum szükséges; valamint észleltük (a D-glükóz példáján keresztül) azt is,
hogy a Természet-játékaként a többfogú-ligandum
a szimpla sugallat ellenére ciklikus-formában
van jelen – s hozzá kell tegyem: ez távolról sem megy ritkaság-számba. Ez
viszont azt jelenti, hogy a keláció megvalósulásával a kialakuló 2 db
gyűrű rendelkezik közös atomokkal: ezt a jelenséget anellációnak ill. áthidalásnak
nevezzük [2 db ill. több közös atom esetén]. Néhány
ilyen struktúrát mutat a 22. ábra,
amelyekhez a következőket fűzzük:
22. ábra: Néhány anellált kelá-tgyűrű, ciklohexán-vázhoz
[M=fém-atom]
A 6-tagú gyűrű változatlannak-tekintett
szék-alkata mellett, viszonylag könnyen észlelhető hogy
· I) esetében az anellált 5-tagú gyűrű alkata boríték [a 2C-1C-O atomok szekvenciája adja a boríték „fülét”],
· III) esetében az anellált 6-tagú gyűrű alkata a már
ismert stabil szék-forma,
· IV) esetében szintén szék-formák állnak elő az anellációk eredményeként, ezúttal 3 db:
az általuk megvalósuló nagyfokú-szimmetria egyben különleges stabilitást
kölcsönöz a szerkezetnek (adamantán-struktúra).
Egyedül II) 5-tagú gyűrűje esetén marad a kérdés: vajon ez fantomkép, avagy
az 1a,2e
irányultságú fogakkal bíró ligandum képes-e a fentebb bemutatott
feszültség-mentes 5-tagú gyűrűk valamelyikébe kötni az M fém-iont?
Vegyük észre, hogy a ciklopentán boríték-alkata Newman-projekciós ábrázolása [ld.: 21. ábra] kétféleképpen is kiegészíthető, ahogyan azt a 23. ábra mutatja:
Mindkét kiegészítésben felfedezhető a
ciklopentán-vázhoz anellált szék-alkatú
ciklohexán-váz: elég a bekeretezett molekula-részleteket összevetni 19. d) ábrájával. A 23. b) ábra alapján viszont egyértelmű, hogy a
ciklohexán-vázhoz 1a,2e állásban anellálódik az 5-tagú ciklopentán-gyűrű, ami
viszont azt jelenti hogy a 22. ábra II) képe létképes konformert takar.[30]
Néhány kiegészítést szükséges még tennem.
Kegyes csalásnak tűnhet, hogy a
ciklopentán 21.
ábrabeli Newman-projekciójában a [hátulsó] fölső H-atom
pozícióját szigorúan axiálisnak vettem, midőn azt a 23. ábrán kiegészítettem szék-alkatú ciklohexán-vázzá. A
kérdéses szubsztituens irányultságának a minimális-deviációja a tökéletes
axiális-pozíciótól vihet ugyan némi feszültséget a ciklohexán szék-alkatába, de
attól az még létezik. De nézhetjük a dolgot a másik végéről is: Ha az anellált
ciklohexán szék-alkata kevésbé tűri a szerkezete torzulását, akkor a kérdéses szubsztituens
pozíciója a valódi axiális irány felé tolódik. Ez a hozzá anellált
ciklopentán-vázra nézve mindössze annyit jelent, hogy annak boríték-alkata átkényszerül a csavart-alkatba. Arra hogy ez életszerű,
demonstratív [az e,e anelláció esetére] a ciklopentán csavart-alkatát
szemléltető 20. ábra értelemszerű kiegészítése az alábbi 24. ábra szerint. [Az a,e anelláció átlátása maradjon
„házi-feladat”.]
szék-alkathoz csavart-alkat
Nem lehet az sem érdektelen, hogy az
5-tagú gyűrű a kád-alkatú 6-tagú
gyűrűvel is sikeresen anellálódhat, amint azt a ciklopentán boríték-konformere [21.
ábra] kiegészítése szemlélteti a 25. ábrán:
25. ábra:
Ha ehhez azt is hozzávesszük, hogy a boríték-alkat csavart-formába enyhülése egyben a 6‑tagú gyűrű kád-alkatát is némileg csavartabb
állapotba kell hozza, akkor már csak azt a részletet kell hozzávegyük aminek a
tálalása korábban [4.)c)i) alatt] még idő-előtti
volt. A ciklohexán konformer-átalakulásai teljes-képe [26.
ábra] mutatja, hogy a csavart-kád [B1, B2] konformer
energetikailag kedvezőbb alkat a (szimmetrikus) kád-alkatnál [C].
26. ábra. Ciklohexán: szék – fél-szék – csavart-kád – kád konformerei
Azaz: A kád–boríték anellált szerkezet [ld.: 25. ábra] valóban tovább stabilizálódhat a csavart-kád–csavart anellációba. S hogy
vajon kell-e, és mikor, a kedvezőtlenebb kád-alkat előfordulásával a valóságban
valaha is számolnunk, az bizony a kelációra módot-adó ligandumok összességétől,
és egymáshoz-viszonyított helyzetétől, ténylegesen függhet.
5.) Keláció
égre-földre
a)
Citromsavas kínálat
A sikeres kelációt eredményező
több-fogú ligandum alap-vegyülete nem feltétlenül kell ciklusos legyen A
gyökérváladékok által termelt citromsav
[27.
a) ábra] például nem az, mégis igen-hatékony
koordináló-képességgel bír. A Fe(III)-ionnal alkotott dimer kelát-szerkezetét a 27. b) ábra illusztrálja[31]:
A két-molekula citromsavval létrejött
struktúrában viszont már csőstől van anelláció. A 2 db kelációba-fogott ferri-ion oktaéderes-elrendezésű
koordinációja [az alap-struktúrát ld. a 6. ábrán] mindkét
citrát-anionot 2-db anellált 6-tagú gyűrűbe kényszeríti, amihez járul még a
citromsav középső C-atomjáról induló karboxil-funkció által kialakított 2 db 5-tagú
gyűrű – amely ugyanazon komplexált citromsav-molekula egyik 6-tagú kelát-gyűrűjéhez
1,3 áthidalással, míg a másikhoz
anellációval kapcsolódik. A
dimer-komplex középső, 4-tagú gyűrűje viszont szög-feszültségekkel terhelt. A Fe(III)
oktaéderes koordinációja O-Fe-O kötésére ugyanis 90o
az optimális [ld: 6.
ábra]; a citromsav középső C-atomjáról
induló -OH csoport deprotonált anionja viszont – legalábbis a 27. b) ábra sugallata alapján – sp2
hibridállapotúnak tűnik. [Ekkor a C-O kötés valamint az O-atom
2 db magános-elektronpárja adná a síkot, amelyre merőleges a hibridizációból
kimaradó pz pálya – ez járulhatna hozzá (kvázi delokalizációt
kínálva) a további stabilizálódáshoz.] Ez
viszont 120o-os Fe-O-Fe szög-elrendeződést kívánna.
E két tényező együttesen a FeOFeO sík-négyszög kötéseire
jelentős szög-torzulást ró [2*90o+2*120o=420o
A valódi
térszerkezetet[32]
a 28. a) ábra mutatja. A szóbanforgó 4-tagú gyűrűben [mely tehát a
papírlap síkjában van] ugyanis mindkét
O-atom
sp3
hibridállapotú. [Emiatt az O3 atom kötése a C3 atom felé a
papír síkja fölé mutat, míg az O3* atomé a C3* atom felé lefele – s aminek a vonzataként a két
citromsav-molekula a FeOFeO 4-tagú gyűrű síkja ellentétes-térfeleire
szorul.] Így az alap-kívánalmak mellett (O-Fe-O
szög oktaéder-diktálta 90o-os, és az O-atom sp3
állapota miatti 109o-os kötés-szöge) már
kisebb a sík-négyszögben a
szögtorzulási-kényszer. A valóságban a O-Fe-O kötésszög [a vegyület
kristályos állapotában, röntgen-diffrakciós meghatározás által] 78o; így a sík-alkatú 4-tagú gyűrű esetén a Fe-O-Fe szög 109o-ról
csupán 102o-ra kell torzuljon.
N.B.: Ez a szerkezet
abban is különbözik a 27. ábrán sugallttól, hogy itt a hatodik
ligandumként koordinált H2O molekula O-atomja [O1w] a 4-tagú gyűrű
síkjában van, míg a megtévesztő 27. ábra azt a síkra merőlegesen helyezi el [felfelé ill.
lefelé]. – A tényleges helyzet e dimert
illetően egy parányit cizelláltabb, amint azt 7 évvel későbbi, precízebben
megismételt kötés-szög mérések rögzítik, 2001-ből.[33]
|
a)
|
b)
|
28. ábra: A valódi a) Vas-citrát dimer b) vas-citrát trimer
Van azonban egy nagyobb bibi is: a
citromsav a vassal nem csupán a fenti dimert
képes alkotni. A 28. b) ábra a
kristályosan-izolált molekula (trimer-)anionját
[Fe2(Hcitrát)3]3– szemlélteti.
De vajon miért „szórakozik” így velünk a Természet?
Miért nem elég neki a dimer? Vessünk egy pillantás ide: Hogyan is valósul meg a
citrát-trimer esetén a taglalt 4-tagú
gyűrű? A Fe1-O33-Fe2-O23 atom-szekvenciáknak még a síkbeli ábrázolása is
jelzi, hogy a négyszög nem sík-alkatú:
azaz, szög-torzulási kényszer itt nem áll fenn, így a szerkezet [ezen részlete] energetikailag kedvezőbb-stabilitású.
Pontosabban: NEM sík-alkalú semelyik
4-tagú gyűrű amely a két Fe-atom és az O13, O23, O33 atomok
részvételével létrejött. Az 5 atom által meghatározott ál trigonális-bipiramis alakzatban mindegyik O-atom felveheti az sp3
hibridállapotára jellemző 109o-os kötésszöget amellett, hogy a
szembenálló két gúla Fe-atom csúcsaiból induló, a gúlák
lapjait alkotó háromszögek rendre mind nemcsak egyenlőszárúak, de egyben
derékszögűek is – a Fe-atomok körüli oktaéderes-elrendeződés kívánalmainak.
Tehát, a trimerben nem kell előálljon a
dimerre jellemző szögtorzulás. Meglehet, hogy ez a dolgok előidézője. Egyszerű
„regulák” mentén masíroz a Természet,
csupán nekünk okoz nehézségeket a mutatkozó (végtelenül-változatos) alakzat.
Úgy vélem, ez a citromsavas-kitérő, bemutatásképp, elég lehetett némi impressziót
nyerni ahhoz hogy megítélhessük: 1) a tudásunk korlátait; 2) a talajtani felkent „magyarázatok”
részlet-hiányos (netán blöff-szerű – ahogy tetszik) voltát. Amelyek semmitmondó tirádákkal
altatgatva próbálják katedrákról okítani a tudomány mindenhatóságába [vagy annak
félművelt mitugrász bitorlóiba] vetett hitűeket, ilyesfélékkel komolykodva: „majd pedig a gyökér által termelt citromsav,
magához kötvén a föld vasát, beviszi azt a sejtfalon át a növénybe…” (A
kép, persze, valami-módon igaz; de HOL van ez a dolgok molekuláris-szintű
megértésétől?)
Emiatt is, meg a még megtehető ám
feleslegesen szószaporító okoskodások elkerülése végett, mostantól nagyobb-léptékben
haladunk. Persze, mindenki szabadon alkalmazhatja elemzéseihez a bemutatott
eszközöket, előremutató vagy korlátozó-értelmű tanulságokat vonhat le, míg
eljut annak közelségébe hogy megértse: milyen tevékenység lehet hasznos, és
melyek azok amelyek nem vezetnek sehova – károkozásokon túl.
b)
Egyszerű és aprócska cukor-alkoholok[34]
A keláció-kínálta Krőzus-gazdagságot
tehát már a viszonylag kicsi, nem-ciklusos szerkezetű poli-funkciós molekulák
is kínálják. A hihetetlen érzékenységet a molekulán-belüli parányi
szerkezet-változásra, s azon belül a kelát-kialakulás lehetőségeinek a
kavalkádját szemlélteti a 29. ábra, 2 db 4
C-atomos
cukor-alkohol molekula szerkezeti-izomerjei esetére:
N.B.: az hogy a 29. ábrán (valamint a
következőkben) éppen mi a koordinációval-kötött atom, csupán annyiban fontos,
hogy azokra lett [alapos módszerességgel] meghatározva a bemutatott
[kristályos] szerkezet. Arra vonatkozólag, hogy ugyanezen molekulákkal egyéb atomok milyen/melyik kelát-struktúrát
adják, a képzelet szárnyaira vagyunk utalva. Arra pedig, hogy az eltérő atomokat befogó kelátok képződési-hajlama ill. egymáshoz viszonyított
stabilitása mekkora, nemsokára teszek
néhány útbaigazító megállapítást.
Az eritritol
molekulánál maradva, érdemes szemügyre venni az 30. ábrán a molekula kelációs-képességeinek a
„találékonyságát”, ezúttal a bór és a molibdén befogásain keresztül:
A szemléletesség kedvéért a
cukor-alkohol 4 db C-atomból álló vázát vastagítással kiemeltem (és számozással
láttam el), a kelát-képzésben részes O-atomokat
koncentrikus (zöld) körökkel jeleztem, a kelatizált atomokra pedig a
vegyjelükkel utaltam. A sík-alkatú fenil-szubsztituens
[ld. a benzol térszerkezetét a 8. ábrán] p-felhője
rezonancia-kölcsönhatásaként planárissá tett bór-koordinációt szintén képes
kiszolgálni a ligandum, miközben a rezonancia-stabilizáció rovására mindkét
6-tagú kelát-gyűrű félszék alkatra
deformálódik (s egymással e,e pozícióban anellál): 30. a) ábra. A molibdén befogására az aprócska molekula más
trükköt alkalmaz: 2 db Mo-atomot rögzít [a hozott O-atomjaival
együtt; a Mo által megkövetelt oktaéderes-térszerkezet tartása mellett] igencsak egzotikus kristályformába: 30. b) ábra. Ahol 3 db 5-tagú kelát-gyűrű [alapjai rendre
a C1-C2,
C2-C3, C3-C4 kötések] létrejöttével egyben kialakul egy 7‑atomos gyűrű [C1-C2-C3-C4
alappal] valamint egy szék-alkatú 6-tagú gyűrű [C1-C2-C3
alappal] is, míg a 3 db 4-tagú MoOMoO
gyűrűk összefűződése és téralkata szinte másolata a vas-citrát trimer hasonló, nem-síkalkatú négyszögeinek.
Érdemes még egy pillanatot szentelni,
hogy lássuk: egyetlen parányi
szerkezet-izomériai változás a ligandum-molekulában mi különbséget von maga
után. A 31. ábra ezúttal a threitol
Mo
komplexét szemlélteti – azzal a különbséggel, hogy a láncvégi 1,4 pozíciók -OH ligandumai -SH
csoportra lettek cserélve.[35]
A 31. a)
ábra szerint kelátba-fogott 2 db Mo-centrum
szerkezeti-hasonlósága az 30. b) ábráéval kísérteties (kivéve hogy az ábrázolás fejtetőn áll) [nem csoda: az oktaéderes kívánalom diktál]; viszont itt 4 db 5-tagú gyűrű alakul ki [C1-C2
és C3‑C4
alapokkal 2 db csavart-forma,
középütt pedig C2-C3 alappal (és 4 közös atommal 2 db boríték-forma (a csúcsokban a Mo atomokkal)]. Figyelemreméltó ugyanakkor, hogy előáll a 31. b) szerkezet is (ahol a molekula a 2 db Mo
atom és a C2-C3 kötés felező-pontja által kijelölt síkra nézve
szimmetrikus).
Azt hogy léteznek-e további szerkezetek
a fentiek mellett, sem nem vizsgáljuk sem nem érdeklődünk felőlük tovább. Amit
láttatni kívántam e játszadozással, nem más mint emlékeztetni: a Természet szimpla sakktáblája
végtelen-sok felállást kínál; ha valami nem megy így, van rá mód hogy mehessen úgy.
c) Mono-ciklusos 6 C-atomos poli-alkohol reprezentáns: inositol
Ha most visszatérünk a gyűrűs kelátképző vegyületek körébe, ott
a következő érdekességekre érdemes felfigyelni:
i) A
sztérikusan-kedvezményezett epi-inositol
konformer [2 db axiális -OH és 4 db ekvatoriális -OH
szubsztituens (a mutatott sorrendben) a ciklohexán-gyűrű szék-alkatán] átalakul [szék°szék alkat-váltással] a más-körülmények közt instabilabb konformerbe,
hogy rögzíthesse a B‑atomot a tetraéderes-téralkatú bórsav-észterbe: ld. 32. ábra.[36]
32. ábra:
ii) De
ugyanez a poli-alkohol marad változatlanul a sztérikusan-kedvezményezett
formájában, midőn akár a Ca2+ kationt akár a HIO32–
aniont komplexálja36: ld. 33. ábra.
Ezek térszerkezete feltehetően amiatt
különböző a 32. ábra bórsav-észtertől,
mert a Ca és I atomok nagyobb ion-rádiuszai
mellett az 1a,3a,5a irányultságú
3-fogú kapcsolódás már túlzsúfoltságot eredményezne.
Megbújik itt egy másik fontos tanulság
is. Nemcsak fémeket képes (magához-kötve) „mozgatni” a ligandum-molekula, de flexibilisen
alkalmas a [vitális] nemfémes-elemek
hasonló kezelésére is: a fémeket kationként,
a nem-fémeket [itt: B, I] anionként viszi magával.
iii) A myo-inositol pedig képes a (fenil-konjugáció révén sp2
hibridállapotú) B-atommal tri-bór származékot
alkotni [34. a) ábra], míg a scyllo-inositol [mely a myo- izomertől mindössze egyetlen -OH
csoport irányultságában különbözik] dupla adamantán-szerkezetet alkotva 2 db B-atomot
képes bórsav-észterén keresztül rögzíteni [34. b) ábra].
iv) Az hogy
a myo- variáns foszfátot is képes
észterként 3-foggal rögzíteni [34. c) ábra] már alig meglepetés. Mint ahogyan az sem, hogy
szükség esetén [miként a 34. d) ábrán, az ekvatoriális –OCOC6H5 csoport térigénye
miatt] a pusztán 2-foggal rögzített foszfát
által kialakult 6-tagú gyűrű a más-esetekben energetikailag kedvezőtlenebb kád-alkatot veszi fel.
v) Abban
pedig végképp nincs semmi meglepő, hogy 1e,2a állásban Mg-atomot kelatál 5-tagú
gyűrűbe – miközben a további 4 db szabad -OH csoport még nyitott hasonló-akciókra:
ld. 35. ábra. És képes is, lévén a szomszédos -OH
csoportok rendre e,e állásúak [melyek – mint IV.)B.)4.)e) alatt
megmutattuk – kelát-gyűrűk kialakítására alkalmasak].
vi) A teljes történethez tartozik, hogy az inositol-nak 9 db szerkezeti-izomere létezik…
d) Stabilitás
és egyebek
A helyzet rendkívüli bonyolultsága
ellenére megfogalmazható egy ökölszabály: A ciklusos
ligandum-vegyületek a befogandó ionra nézve szelektívebbek, a nem-ciklusosak
viszont flexibilisebbek a kelátképzés
során.
Adódik ez a
ciklusos-vegyületek funkciós-csoportjainak a rögzítettebb térállásaiból –
melyek miatt a szerkezet rendezetlenebből-rendezettebb struktúrába állása (un. entrópia-faktor) minimális-kényszert ró
a kelátképző reakcióra; s ha ekkor a befogandó-ion rádiusza is precízen klappol
a kelát-gyűrű geometriájával, akkor a reakció az adott ionra nézve meglehetősen
specifikus lesz.
Ezzel szemben, a nem-ciklusos
ligandum-vegyületeknek (szabad belső rotációik mentén) addig-addig kell „találgatniuk”
a szükséges/kedvező állapothoz a beállást, amíg ligandumai a fix-struktúrájú
kelát-gyűrű kialakításához megfelelő szerkezetbe nem kerülnek. Ez ugyan
alkalmasint nem-csekély entrópia-gát a reakció előtt, viszont ezáltal a
„találékony” molekula többféle-kínálattal is előállhat a környezete felé:
melyek más-más stabilitást kínálnak, és más-más iont preferálhatnak.
A (mono-)ciklusos ligandum-vegyületek
kínálatában a kialakuló kelát-szerkezetek viszonylagos stabilitására a 36. ábrán mutatott sorrend a mérvadó ill. elfogadott[37]:
Az effektív
stabilitási-állandó lenne az útbaigazító arra nézve, hogy melyik vegyület
milyen erősen köti magához az adott iont; ami irányadással szolgálhatna arra,
hogy egy már kelátba-kötött iont egy másik-fajta ion kiszorít-e onnan (miközben maga
megkötődik) avagy sem – legalábbis
termodinamikai-alapon. Csakhogy, ez a [fenti, kristályos] szerkezet-meghatározásoknál lényegesen-kevésbé
műszer-igényes kérdés elméleti-egzaktsággal nem válaszolható meg. A vonatkozó
képletek alkalmazhatóságának erős határokat szab az, hogy a Természet-kínálta sokféle ám relatíve
gyenge kölcsönhatások kísérletes, labor-tanulmányozása töményebb
koncentrációkat kíván. Ekkor viszont az idevonatkozó képletek a speciesek
koncentráció-értékei helyett azok un. aktivitási-értékeit
kívánnák – amelyek viszont praktikusan ismeretlenek[38]
[illetve,
rendkívüli-módon, esetről-esetre, változnak az egyéb paraméterek változásaival]. Ekként, nem nagyon tudunk mit előrejelezni arra
vonatkozólag, hogy pl. a 37. ábrán sorolt
izomer-kelátokban vajon melyik fém-ion mekkora hatékonysággal lenne képes
kicserélni a bennük kötött Pd-atomot – akár az egyiket, akár
mindkettőt.
Talajokra extrapolálni ezt a tudást
pedig végképp reménytelen:
· Ott nem vizes oldatok
vannak, hanem határfelületek [persze, sok-sok
H2O molekulával].
· A talajban levő kelát-képző molekulák lényegesen bonyolultabbak a már
bemutatottaknál.
Mielőtt azonban ezen a talajra-irányuló kulcslukon
bepillantunk, kettő példával illusztrálnám miféle további bonyodalmakkal
szembesülünk ott.
i) Azonos
kelát-képző molekula esetén is tetézheti a dolgok kibogozhatatlanságát az inter-molekuláris (makro-alakzatba) szerveződés [vö: IV.)B.)1.)x) alatt
jelzettekkel]: a 38. a) ábrán a Cu‑atomok megkötődése (s így
viselkedésük, további sorsuk) eltérő.
ii) A lehetséges ligandumok donor-molekulái is jóval-nagyobb
változatossággal bírnak az élő-Természetben, mint azt az eddig tárgyalt
példák bemutatták. Egy ilyen (egyszerű de valós) kelátot
szemléltet a 38. b)
ábra.
f) Aromás szerkezeti-részletek
Gyakorta előforduló molekula-szerkezeti
elem a természetes-vegyületek kémiájában a benzol-gyűrű,
emiatt némely ismeretre ekörül is szükség lesz a humusz-anyagok „szerkezetének”
a megértéséhez. A 8. ábra alól már
tudjuk, hogy a 6 db sp2 hibrid-állapotú C‑atomot tartalmazó gyűrű
síkalkatú.
Ezt a sík-alkatot igen jelentős
mértékben tovább-stabilizálja az a minden gyűrű-atomra kiterjedő
elektron-delokalizáció, amely által az egyes atomok hibridizálatlan pz
pályái összeolvadásából létrejön az un. aromás-struktúra [ábrázoláskor
ezt a gyűrűbe rajzolt kör jelzi].
Az aromás-szerkezetek önmagukkal is
anellálódhatnak [kiterjedtebb síkalkatot hozva létre: pl. a „rettegett” PAH vegyületek], valamint lehet
az aromás-gyűrűben egyéb atom is [ha az képes (magános-elektronjai
révén) biztosítani az aromaticitást:
pl. O
(furán), N (piridin), S (tiofén)].
A gyűrű C-atomjainak sp2
hibridállapota vonzataként a gyűrűhöz közvetlenül-kapcsolódó
atom is ugyanebben a síkban van, bármely szubsztituens esetén. Ami erősen kihat
az aromás-gyűrűhöz anellálódó kelát-szerkezet vagy H-híd által létrejövő 5
vagy 6 tagú gyűrűk térszerkezetére. Ld. 39. ábra: a megvastagított-kötések atomjai egysíkúak.
Ezekben 4 db atom mindig szigorúan
azonos-síkban van, s csupán a fennmaradóknak marad a választás: vagy az
előbbiek síkjába illeszkednek, vagy abból kitérnek. Síkban-maradás esetén
megvalósulhat egy, az anellált-gyűrű egészére is kiterjedő
elektron-delokalizáció, ami növeli a struktúra stabilitását. A síkból való
kitérés pedig módot ad a kelatált fém-ion koordinációs-állapotának elkerülni a
jelentősebb szög-feszültségeket.
Aromás-szerkezetekkel a talajban többek
között a fás-jellegű növényi-szöveteket felépítő lignin humifikálódásakor kell számolni, de a már említett zuzmó-savak
poli-fenolos vegyületei is azok.
C.)
A bőségszaru (áttekinthetetlen) kínálata: a HUMUSZ
Fenti tény-anyag, eszközök és elemzések
birtokában kell elinduljon az, aki „felgombolyítani” szeretné a humusz-anyagok
működését és egyéb titkait: az ottani csodát
[az
őszinte ámulóknak] vagy misztériumot [sokak
használják ezt a működő-megismerhetetlenség szinonimájaként] számokba, egyenletekbe, fix-képletekbe rögzíteni.
Ha ezen vállalkozás kivihetetlensége
érzékeléséhez nem volt elegendő a IV.)B.)1.) alatti Átnézeti-TABLÓ számos pontja alatt
elejtett indikáció, akkor az alábbi-részletek ismerete segíteni fog a
képzelgések oszlatásában.
1.)
Belépés a Humusz birodalmába
a)
Definíció
Kiinduláshoz, a humusz precízebb
definíciójához a következőt találtam[39]:
„Humic substances comprise an extraordinarily complex, amorphous mixture
of highly heterogeneous, chemically reactive yet refractory molecules, produced
during early diagenesis in the decay of biomatter, and formed ubiquitously in
the environment via processes involving chemical reaction of species randomly
chosen from a pool of diverse molecules and through random chemical alteration
of precursor molecules.” (p19)
Magyarul: „A humusz-anyagok
kémiailag-reaktív ám behatásoknak mégis [viszonylag] ellenálló
molekulák különlegesen-bonyolult és rendkívül-heterogén amorf-elegye, amely az
élő-anyagok lebomlásának a korai-szakaszából állnak elő, és a környezetben
mindenütt képződnek, a bomlásokkal előállt legkülönfélébb-molekulák
hatalmas-választékából kémiai-reakciók által, valamint a prekuzor-molekulák
random kémiai-változásaival.”
b)
Lényeg-kiemelés
A fenti definíciót tényezőkre bontva az
értekezés-szerzője a lényeget 5 pontba igyekszik sűríteni. Ezek:
A) A humusz-anyagokra jellemző, hogy azok
mentesek a nagyobb, azonos-vázszerkezettel bíró elemek ismétlődő
összekapcsolódásaitól.
[Nem
„bio-polimerek”.]
B) A humusz-anyagok nem tisztíthatóak a [kémiai] tisztítás bevett értelmében.
[Ugyanezért
nem-bonthatók (változások előidézése nélkül) a komponenseikre sem.]
C) A humuszanyagok lényege rendkívüli
molekuláris-heterogenitásuk és kifejezett kémiai-reaktivitásuk kombinációjában
rejlik.
D) A különböző-forrásokból származó
humuszanyagok bruttó-tulajdonságaikban figyelemre méltó egységességet mutatnak.
E) Nem lehet olyan molekulaszerkezetet vagy
struktúracsomagot írni, amely teljes mértékben leírja a humuszanyag molekulákon
belüli kapcsolódását.
c) Primer
elemzés
i) Könnyű észrevenni, hogy a balga-hittel
célul-kitűzött hipotetikus totál-felderítés reménye azonnal szilánkjaira törik E) szikláján. Ha ugyanis nincs felírható
kémiai-szerkezet, akkor nincs mit elemezni: se konformációs, se kelációs, se
egyéb-reaktivitási szempontokból. [A) pedig
szűkebb-vonatkozásban E) előhírnöke.]
ii) A „tisztíthatatlanság” B) alatt megfogalmazott szűkszavú állítása mögött a következő áll:
Azon törekvés, amely a humusz-anyagok
kémiai szerkezet-azonosítását eredményezhetné, humusz-vegyületek izolációját
kívánja meg előzetesen – mégpedig meglehetős egyértelműséggel: tiszta-állapotban, azaz egyéb-vegyületektől
mentesen. A tisztítás, azaz a más
komponensektől mentesítés szétválasztást
jelent, az pedig [ha nem Hamupipőke lencse-válogatási
metodikájáról van szó] csakis a
komponensek [fiziko-kémiai] eltérő-viselkedése
ill. mozgékonysága kihasználásán alapulhat – ami itt, ahol nagy-molekulájú és [a számos
funkciós-csoport miatt] poláros
vegyületekről van szó [amelyek emiatt (praktikusan) nem illékonyak], csakis folyékony-fázisban, oldékonysági (és adszorpciós)
különbség lehet. Ha az ilyen alapokon végzett elválasztás ad egyedi izolált
vegyületeket, indulhat a szerkezet-azonosításuk. Humusz esetén így lettek
meghatározva a huminsav és a fulvinsav – bár azóta kiderült: mindegyik
mögött több, variáns-vegyület áll. Az igazi probléma a humusz esetén a visszamaradt-anyag,
ami tehát teljességgel oldhatatlan. Ha ez a maradék egyetlen óriásméretű-molekula
lenne, akkor ugyan nincs mitől szeparálni – viszont a szerkezete felderítése
keresztülvihetetlen. Ha viszont komponensek elegye (amelyek mind
oldhatatlanok), akkor a szeparálhatóság érdekében erősebb-behatásoknak kell
alávetni az oldhatatlan ám elegyes-anyagot. Efféle behatások azonban
óhatatlanul mellékhatásokat okozhatnak, az elemzendő-anyag kémiai-változásokat
szenved: hasadhatnak meglevő kémiai-kötések, kialakulhatnak újak is (nem-tudni
mifélék és hány). Amit tehát ezt követően kapunk, az már nem az amire
kíváncsiak voltunk. Ezzel együtt, az így-kapott izolált fragmensek sokmindenről
árulkodhatnak, de a humusz összességét semmiképp nem reprezentálják. Egyéb
szempontokat vizsgálandó, efféle fragmensekből bemutatunk néhányat IV.)C.)5.)d) alatt.
iii) A „lényeg”
C) alatti megfogalmazása konkrét a sokféleség kiemelésében: mind
a szerkezeti mind a reaktivitási oldal elképesztő változatossággal bír. Semmitmondó viszont abban a
vonatkozásban, hogy ez vajon mi-mindenre elég, mihez is vezet. Jelen
vállalkozásban magam ezt az űrt csupán részben töltöm fel: a „nyomelemek” tározását
biztosító és forgalmát bonyolító kelációs-képesség verzatilitásának az
érzékeltetésével.
iv) D) utó-értelmezésekor
[„D) provides the basis for considering humic substances as
a unique class of materials”] a szerző
viszont „méreten-aluli” halat fog: „D)
megalapozza, hogy a humuszanyagokra úgy tekintsünk mint az anyagok egy unikális
fajtájára.” Pedig D) mögött egy
rendkívüli-fontosságú kulcs-elem bújik meg. Hogy ezt kibányászhassuk, célszerű
betekintést nyernünk a humusz képződésének a folyamatába. Jön tehát néhány
erre-vonatkozó részlet az eredeti-szövegből [fordításomban].
d) A
humusz-képződés körülményei
i) Az
egyik, széleskörűen elterjedt megközelítés szerint, a kezdeti-lépés az elhalt
szerves-anyag lebontása kisebb
molekulákra a talajlakó-mikroorganizmusok (mikrobiom)
által. Ezt követően, ezen kisebb-molekulák random fogyasztásával éli életét
ugyanezen mikroorganizmus-közösség – részint energiát merítve belőlük, részint C
[és
egyéb szükséges] atomokat testük szaporításához –
miközben újabb, eltérő-szerkezetű kis-molekulákat bocsátanak ki
anyagcsere-végtermékeikként.
N.B.: Ez az ő
„szaruk”. Ami mellett jól megférnek. Egyik szarja, másik eszi – veszteség
nincs, s önfertőzés se. – A „nagyobb-világ” makro-kozmosza
ugyanilyen elrendezéssel éldegél – kivéve a renitens, a saját szabadsága
fokozásáért a Természetet is rabigába
hajtani vágyó, a józan-ösztöneitől megfosztott embert.
Ezekre alapít a soron-következő építő-lépés: A kezdeti-degradációval
keletkezett vegyületek és a mikrobiom táplálkozásával képződött és kibocsátott
vegyületek közt, e hatalmas választékból (véletlenszerű párosítások
kezdeményezéseként) kondenzációs [és egyéb] reakciókkal olyan összetettebb-anyagok képződnek,
amelyek (ellentétben a kezdetben degradációra került szerves-anyaggal) a mikrobiom által praktikusan emészthetetlenek. [Ez a
biztosítéka a képződött humusz huzamosabb létének.]
ii) Más
megközelítés a fentieket kiegészíti azzal, hogy a humusz-képződés folyamatában
része van annak, hogy a polimer-jellegű bio-molekulák [mint lignin, (hemi)cellulóz] szerkezetei különféle reakciók hatására megváltoznak.
A változás a polimer-jellegű lánc aktív szerkezeti-pontjain [funkciós-csoportok] kezdődik, amelyek az előbb leírtak szerint keletkezett
kismillió változatos-vegyület közelségében azokkal random-módon különféle
primer és szekunder reakciókba lépnek. A láncban így létrejövő változatosság a
bio-polimer ismétlődő jellegét megtöri, akár felismerhetetlenné is teheti,
miáltal az eredeti helyett egy kiszámíthatatlanul változatos makro-struktúra
áll elő. Ez – együtt az előzővel – jelentősen növeli a rendszeren belüli [kívánatos] heterogenitást.
iii) Összegzés
a végállapotra tekintettel: Óriási molekuláris változatosságra ad lehetőséget egy
olyan rendszer, amely a növényi és állati szövetek mikrobiális bomlásából
származó változékony reaktív komponensek hatalmas választékából áll elő.
Megtoldva a különleges-elem kiemelésével: Orlov
(1974) megfogalmazásában: "Források sokaságával a háttérben, a köztük
végbemenő változatos reakciók alakulásával, valamint a humusz-összetevő komponensek
[előbbiekből
fakadó] szakadatlan cseréjével, a humusz
voltaképpen véletlenszerű-faktorok
hatására képződik a különféle-módokon termelődő vegyületekből. Ez az alapvető különbség a humusz-anyagok [random
reakció-partner találkozások mentén zajló] szintézise,
és az élő-szervezetek által képződő szerves-vegyületek [szigorúan
irányított] szintézise között. [Élesebb
megfogalmazásban: A humuszanyagok képződése felfogható a biológiai-szintézis antitéziseként]
2.) Állandóság (és irányítottság) a random-változások birodalmában [D) mélyebb értelme]
Ha most a képződés vázolt folyamatai tükrében vesszük újfent szemügyre a D) alatti eredeti-állítást és vetjük azt
össze azt szerzője bemutatott utóértelmezésével, akkor a „különböző-forrásokból származó humuszanyagok” kapcsán kiemelendő
igazán-meglepő tény az, hogy a történések randomitásai megfoghatatlan
multiplicitása ellenére a végső-fázisban előálló anyag praktikusan azonos
viselkedésű – bárhonnan is származzék. Másképp fogalmazom, hogy a dolog
különlegessége jobb megvilágítást kapjon: Mintha
a random-folyamatok is egyfajta irányítottság alatt állnának.
A joggal felmerülő kérdések: a)
Hogyan is lehetséges ez? b) Van-e ezzel célja a Természetnek, és ha igen mi az? A
válaszokért gondoljuk végig a következőket:
a) A „hogyan lehetséges” hátterét vizsgáljuk
először.
i) Egy
növényi-élettel borított adott talaj-részleten képződött humuszt tekintsünk
etalonnak.
ii) Menjünk
most kissé-odébb. Akkora távolságra,
ahova az előző helyszín talajlakó mikroorganizmusai (Set:biom) életciklusuk
alatt nem képesek eljutni, de ahol a vegetációs-állomány (Set:élő) és az
éghajlati-tényezők (Set:enviro) még nagyjából azonosak az előző helyszínével. Nyilvánvalóan,
ezen a helyszínen a képződő bomlási-anyagok (Set:bomló) akkor lesznek
hasonlóak az előző-helyszín Set:bomló
vegyület-halmazához, ha az ezeket képző Set:biom
is hasonlatos az előbbiéhez. De, mitől is lenne különböző? A mikrobiomot alkotó
parányok kialakulása időben messze-megelőzte a magasabb-szerveződésű élőlények
kialakulását, aminek két következményére érdemes itt összpontosítanunk: a)
Az élet evolúciója hajnalától tartóan, adódott e parányoknak idejük és módjuk a
globális szétterjedésre. b) Már adott létük, és működésük-utcái
nyilvánvalóan erős alakító-faktorai voltak az élet-fejlődés további-folyamatainak
(miközben maguk is változtak: adaptálódtak e szimbiózisban az új meg újabb
körülményekhez). Ezek miatt, semmi meglepő nincs abban, hogy [Természetes-körülmények között] a magasabb-rendű vegetáció (Set:élő) és a talajban munkáló mikrokozmosz (Set:biom) kölcsönhatásai (és szerkezet-anyagai) között igen szoros
a kapcsolat. Fogalmazhatunk úgy is hogy:
Tétel: (Természetes-viszonyok
közt) Hasonló
Set:élő alatt hasonló Set:biom munkál;
a működő-kapcsolat közöttük
elválaszthatatlan és determinált.
Ez eredményezi azt, hogy ezen a
helyszínen is – az azonos kiindulási-anyag (Set:élő)
mellett szorgoskodó, teljességgel-hasonló Set:biom
által – a képződő primer-bomlástermékek (Set:bomló)
és a szekunder-folyamatok anyagcsere-végtermékei (Set:avt)
féleségre-fajtaságra (de még arányaikra nézve is) meglehetősen azonos
vegyület-kínálatot hoznak létre a talajban. Amikből következik a humusz-képződés
többrendbeli építő-folyamatai nagymértékű azonossága, melynek következménye az
általuk előálló végtermék (humusz) csaknem változatlan makro-tulajdonsága.
Hasonlatosan ahhoz, mint amikor két azonos-képzés birtokában levő pékmester azonos-hozzávalók garmadájából
kever/dagaszt/süt püspökkenyeret. A végeredmény rendkívül hasonló, mégha a
mikro-bogarásznak sikerül is felmutatnia, hogy ahol az egyik sütijében mazsola
szomszédos dióval, ugyanott a másikéban a mazsola közvetlen-szomszédja
aszaltmeggy.
iii) Ha most
jóval-odább megyünk – ahol már a
vegetáció is meg az éghajlati-tényezők is szignifikánsan eltérőek az előző-helyszínekétől
– akkor vajon mi a helyzet a humusz-képződést primer-módon irányító Set:élő és Set:biom körül? Borít-e valamit is a helyszín-váltás okozta szemre-nyilvánvaló
élővilág-különbség?
Ezt a
kérdést a Set:élő oldaláról indulóan
fejthetjük fel. (Annál is inkább, mert a Set:biom
oldalán az ismeretlenség homálya mérhetetlen: alig tudunk a rendkívül népes
közösség néhány tagjáról valamit is.) Ezek
után pedig, a vázlatosan megfogalmazott evolúciós-determinizmusból adódó összefüggés
alapján lehetséges a következtetés az itteni Set:biom állagára, a „Hasonló Set:élő alatt hasonló Set:biom munkál” tétel
által.
Ha a tundra zuzmóit és csökött
növényeit vetjük össze akár a bükkössel akár a füves-pusztákon honos fajokkal,
nem tűnik szembe a Set:élő anyagában
semmi érdemi hasonlóság, azonosság pedig pláne nem. Ahhoz hogy ilyeneket
észlelhessünk, le kell ereszkedni molekuláris-szintre. Ahol azután nyomban
szembetűnik: a szénhidrát-állomány
nagyfokú hasonlósága [a 90% fölötti tömeg-hányadot adó cellulóz és keményítő egyazon monomerből épül fel mindenütt: D-glükózból], a fehérjék
építő-köveinek [aminosavak] az azonossága, az egyedről-egyedre különböző
örökítő-anyagok építőköveinek [nukleotidok] a totál-azonossága. Szóval: hol is a különbség? A magasabb szerkezeti-felépítésben. Ami viszont
múlandó: híre-hamva sincs, amint megtörténik az élet-anyag szerkezeti-lebontása.
Amikor viszont a humusz-építéshez előálló „készlet” hasonlósága félreérthetetlen.
Ezzel átláttuk, hogy Set:élő [molekuláris-anyaga
és alapvető szerveződése] szerte a
bolygón azonos, ami a már megállapított tétel
szigorú relációjával hozza a Set:biom
azonosságát is.*
* A hely-függő klíma-tényező
(Set:enviro) Set:biom-ot annyiban befolyásolhatja, hogy az azonosság a mikrobiom
populáció diszkrét fajaira nézve nem, de a közösségük által kifejtett (bontó,
táplálkozási, emésztő) hatások összessége eredőjére feltétlenül áll.
Marad még tisztázásra az új-helyszínen
számottevően különböző Set:enviro
tényező. Tudott, hogy a hőmérsékletbeli különbségek reakció-sebességbeli
különbségekben manifesztálódnak: hidegben minden reakció (jelentékenyen)
lelassul. Ez a lassulás némiképp különböző-erélyű más-más reakciónál. Emiatt borulhat
helyszínenként kicsinyt az előálló Set:bomló
és Set:avt állaga, ami vezethet némi
differenciához a végtermék esetén is: ez azonban nem több mint amennyit
megkívánnak tőle az ottani működési-feltételek. A különbség semmiképp nem
ordító, és nem áthághatatlan ha változással kell szembesüljön: a tundrákról
elhozott tőzegbe ültetett muskátli nem fog „elfogyni mint a gyertyaszál”.
b) Ami
pedig a Természet célját
illeti: Az azonos-felépítés imént-bemutatott
biztosítása mindenféleképp célirányos. Éspedig abban, hogy a képződött humusz
képes legyen (szerkezete sokféleségére támaszkodva) mindenfajta szituáció kezelésére: A változékony geológiai
háttér-adottságok ellenére úgy szolgálja ki táp- és nyom-elemekkel,
átmeneti-raktára ügyes mozgósításával és átszervezésével [a
kismillió-féle kelát-elrendeződéseken keresztül], a vele
a mikrobiom szimbiózisával összekötött növényeket, ahogyan azt azok egyedi
fejlődési-kívánalmai meghatározzák.* Messzebbre (a jelen keretek közt) nem is
mennék.
* Felveszi a
vitális nyomelemet, ha van elegendő mennyiség a talajban. De mellőzni igyekszik
a felépítéséhez szükségteleneket, mégha azokból bőséges is a kínálat alant. Ha
ez másképp nem megy, oda helyezi, ahol az a legkevesebb gondot okoz a saját
jövőjére nézve: Nem a genetikai-anyagába, nem az ezt hordozó termésbe, hanem
[normál ill. kívánatos esetben] a talajra-visszakerülő növényi-szalmába, vagy
méginkább a talaj mélyében majdan elkorhadó gyökereibe. [Ld.: 5. ábra és elemzése IV.)B.)2.)
alatt.]
Ha pedig ezt a nagyon is célirányos feladatot a
látszólag random-módon képződő humusz
képes ellátni, akkor nem tekinthető (a képződése látványos összevisszasága
félrevezető szabályozatlansága mellett) a
működése sem véletlenszerűnek. Azaz, mindkét
randomnak-tűnő folyamat valamilyen
szinten igenis irányított.
c) De honnan
származhat ez az irányítás, és milyen mechanizmuson keresztül valósul
meg?
A gyökereket az élet evolúciójában kell keresnünk. Ami
egyrészről kifejlesztette az irányítást az egyedi-szabályozás szintjén: Precíz
reakciók és folyamatok meghatározott-sorrendiségű lépései egymásutánjaként épül
fel az örökítő-anyagból [a közelségébe csomagolt „elemózsiás-kosár”
anyagaiból merítve az építő-köveket] az
egyed; amelynek minden további lényeges belső funkciója (emésztés,
egyed-fejlődés) is szigorúan szervezett. De kifejlesztette az irányítást a tömegek
viselkedése szintjén is.
· Ez utóbbira példa a magasabban-szervezett létformák
közt a nyáj- és falka-szellem: random a vezér-kiválasztás, random minden
eseti-történés, és mégis: a közösség élete és túlélése nem esetleges.
· De hasonlóképp példa az irányítottság megvalósulására
az alacsonyabban-szervezett létformák körében a Set:élő és Set:biom
között fennálló [Tételként fentebb bemutatott] kapcsolat; szabályozó-elemek hiányában efféle nem
létezhetne.
· Az élő-élettelen határmezsgyéjére tehető humusz
esetén a képződés irányított-voltát jelző szabályozó-tényezőket viszonylag
kimerítően érintettük; a működésre-vonatkozóan pedig [legalábbis az
önkényesen kiszemelt táp- és nyom-elem ellátási funkciót illetően] a mindennapi tapasztalatok zárják ki hogy ne állna
a dolgok keretek-közé szorított szabályozottsága mögött valamiféle irányítás.
Visszatekintve, fogalmazhatunk úgy is,
hogy a tömegek-viselkedését szabályozó irányítottságból emelkedett ki (mint
„csúcstermék”) a tömeg egyedei működését szabályozó még-precízebb irányítás.
Ezáltal egységbe olvadhat az, ami fentebb talányosan egymás antitéziseként lett említve.
S bár alapos elkalandozásnak tűnhet,
egy további gondolatot még megér:
Ha például azt vesszük, hogy egy adott
térfogatba zárt gázmolekula-halmaz [magára hagyottan, azaz
„természetes-állapotban”] mindig úgy
viselkedik hogy a sűrűsége minden-térrészletben azonos legyen, ugyanakkor az
egyedi-sebességeik eloszlása is időben-állandó (dacára hogy azok széles-tartományban
különböző-értékűek), akkor [a fentiek
kiterjesztéseként] akár azt is
mondhatnánk ezekre az ismert törvényszerűségekre,
hogy azok úgyszintén az evolúció
megnyilvánulásai a szabályozás még-alsóbb szintjén. Ám a teljes-vertikum
szabályozott-irányítása közti rokonság megemésztése könnyebb lehet ha így
tekintünk a fentiekre:
Az evolúciónak
nevezett valami is éppoly törvényszerűség,
mint a korábbról már megismertek.
3.) A humusz „állandósága”
Van a humuszképződést magyarázó
elméletben egy bújtatott, és semmivel nem magyarázott részlet. Így fogalmaz: „unlike the initial biological matter,
[humusz] resist breakdown
by the organisms themselves.
That is, refractory materials are produced.”
Magyarul: Eltérően a kiindulási [lebontható]
élet-anyagoktól, a humusz ellenáll
a mikrobiom általi lebontásnak. Azaz: „állandó”
anyagok képződnek.
Ezen a képen finomítanunk szükséges:
a) A
humusz, mikrobiom általi, szigorúan-vett „lebonthatatlansága”
elvezetne a humusz-anyagok fokozatos felhalmozódásához; illetve talán mégsem:
hiszen a más-jelleggel megvalósuló humusz-bontó mechanizmusok létéről és azok
egyensúlyozó-szerepéről (a háborítatlan Természetben) vajmi kevés az
ismeretanyag. Viszont az élőanyag-bontással szakadatlanul-képződő humusz
mennyiségének az állandó-növekedése mellett, annak totális-lebonthatatlansága a
(vele tömegben lépést-tartani akaró) mikrobiom-populáció táplálkozási-forrásai
hasonló-ütemű beszűkülését hozná. Ami a mikrobiom-populáció ritkulásához, meggyöngüléséhez,
lassú elenyészéséhez is vezetne – hacsak nem a lebontandó élet-anyag mennyisége
lépést-tartana a megkívánt növekedéssel; ami viszont nem áll, mert az évről-évre
hozzávetőlegesen azonos mennyiség.
Következtetés: A humusz igenis lebontható kell legyen a
mikrobiom által – csakhogy az nem teszi ezt, ha csak mód van rá.
b)
Részletezném kissé, mi is lehet emögött: „ha
csak mód van rá”.
Mivel rögzített,
tudományosnak-kikiáltott magyarázat erre a tájékra még nem merészkedett,
mindennemű megfelelési-kényszer nélkül, a legközérthetőbb hasonlatokkal
igyekszem a képet lefesteni.
A mikrobiom étvágyát (a naponta szükséges
kalória-bevitel biztosításához) két
tényező hajtja: az ízletesség és a szükség. Az ízletesség mint motiváció
esetükben azt eredményezi, hogy addig rágják és fogyasztják újra az általuk
lebontott és kiürített termékeket, amíg azok elveszítik számukra az
ízletességi-vonzerejüket [„minden hús lejött a mócsingról”]. Ekkor, a maradék mintegy „ellenálló” lesz a
mikrobiom további [reguláris] étkezési-fogyasztásával
szemben. A szükség, mint motiváció, azonban ismét előtérbe tolhatja ezen
kevéssé-ízletes elfekvő-anyagokat is amennyiben éhezés állna elő, akár a primer
élet-anyag forrásainak a beszűkülése, akár egyéb tényezők fellépése miatt. (Olyan ez, mint
amikor Levin-mester a Szahara
kellős-közepén éhező kompániának felajánlja, hogy a katonai-bakancsaik talpából
alkalmasint tűrhető ragut tud készíteni.)
Következtetés: A humusz tehát nem tabu a mikrobiomnak, hanem
biztosíték a létezésükhöz.
c) A
humusz azonban mesze több a mikrobiom számára mint az elfekvő-ízetlenségek
raktára. Nélküle az életterük sivár és élhetetlen lenne. Ha csupán azt vesszük,
hogy a talaj parányai is érzékenyek a testük kiszáradására, és hogy a humusz
tartósan képes raktározni a hosszabb szárazság idején is a vizet [kismilliárdnyi funkciós-csoportja
által biztosított H-hidakon keresztül], máris
világos a mikrobiom létének a humusz-függősége. A „ha csak mód van rá” jellegű mértékletes-tartózkodás tehát egyben
ezt is jelenti: a mikrobiom nem akkora marha hogy magát kövérre-hízva
felzabálja mindenestől a környezetét, csak hogy röviddel azután jóhúsban-levő
aszalt-hullává váljék.
Következtetés: Ez az ösztönökkel sem bizonyítottan bíró parányok
közössége nemcsak megteremti [elemi
funkcióival] maga-körül a számára (is) szükséges
komfortos életteret, de mintha tudatos lenne annak megőrzése terén is. (Nem úgy, mint a termő-talajokat
büszkén mezítelen-felületűre szántó, az erdők tarvágásait tudatos
profit-orientáltsággal intéző, önmagát klímatizált-kockák ideiglenességébe
szorító, bolygó-idegenné vált faj.)
4.) Borító és stabilizáló tényezők
Távol álljon tőlem hogy ezen alapvető
aspektusokra a jelen ismeretterjesztői-célzatú írás szőttesében alapos és
kimerítő válaszokat adjak – miközben a hivatalos-tudomány még az áttekintő
kérdés-felvetést is mellőzi* – de a fentebbi összefüggések és terminológia megengedi
és kínálja is, hogy a kardinális-kérdések egy részét új köntösben, kissé
alaposabb megokolással láttassam.
* Bár néha
hosszas, részletekbe-bocsátkozó pepecseléssel kihámozhatatlan (vagy arra sem
érdemes) eredmények garmadáját ömleszti a zagyvaságoknak-fenntartott
rekeszekbe.
Hogy ne maradjon alátámasztatlan az
imént közbevetett kardinális vád, három példával kívánom illusztrálni a
legnemesebb indíttatással kezdeményezett agrokémiai-kutatások hiábavalóságát [amelyeket eleve
erre predesztinált a talaj-folyamatok alapvető meg-nemértéséből fakadó hibás
kísérlet-tervezés], azok totális
kudarcát, valamint azokat az értelmezési-nehézségeket amelyek szövevényében
botladozva minden lépés bizonytalanná (vagy éppen bukássá) válik.
Mindhárom munka fémjelző alakja Kádár Imre, aki tiszteletre-méltó
elszánással friss-vért és lendületet igyekezett injektálni az
agrár-tudományokba a kémiából kölcsönözhető tudás bevonásával, ám vonatkozó-munkássága
torzóként és értelmezhetetlenül maradt távozta után hátra, ugyanis sietős
igyekezetében nem hatolt le megérteni azokat a tényezőket amelyek alább a)-d)
alatt rögzítettek.
i) „A Főbb Szennyező Mikroelemek Környezeti
Hatása” cím alatt dokumentált eredményei[40]
– ha kihüvelyezne abból bármit is valaki – amiatt irrelevánsak, mert az elvégzett agro-kísérletek per-definíció NPK
műtrágyázás mellett zajlottak [vö b)
pont alant], és (a kor gyakorlatával egyezésben) szántott
talaj-művelés mellett [vö. a) pont alant].
· Kiemelném azért, hogy a végzett munka gondossága
messze felülmúlja és megelőzi a nálunk fejlettebb régiók hasonló kutatásai
gyakorlatát. Kádár ugyanis többévre-rúgó
un. tartam-kísérletekkel célozta meg
az ismeretlent, valamint azok valóságos talaj-kísérletek voltak (azok minden
nehézségei és esetlegességei bevállalásával) – szemben
a ma is dúló, cserepekbe-miniatürizált, és a vizsgálati-növények
embrionális-fázison alig valamivel túli növekedése lefuttatásával [rendszerint
szándékolt-irányba, az un. ökotoxikológiai-fenyegetettség
kiemelésére].
· Nagy kérdés, hogy vajon vezethetett volna-e többre
a ma abortáltan elheverő hatalmas anyag, ha a szintúgy agrármérnök Nagy Bálint erős oppozíciója a
műtrágyázást illetően és a talaj-edafon megkerülhetetlen szerepének a
nyomatékosítása megfelelő súlyozással figyelembe vétetik.[41]
· További nagy kérdés az, hogy mindkettejük
távoztával akad-e ma valaki, aki hasonló elszánással „megújrázná” a szükséges
agrár-kísérleteket: gondosan elkerülve mindazokat a hibákat amiket a)
és b)
mellőzése von maga után, és arra összpontosítva amit d) bevetése adhat. Feltehető,
hogy az így kapható eredmények akkor is hordoznak hasznos és útbaigazító
információkat, ha általuk nem mozdul sem a humusz szerkezet-felderítése [ami amúgyis
lehetetlenségre kárhoztatott: ld. IV.)C.)5.) alatt], sem a megannyi egyedi kelációs-egyensúly és a
rajtuk-keresztül zajló nyomelem-forgalom [szintén keresztülvihetetlen] pontosítása.
E helyt muszáj visszatérnem a ma is negligált ám meghatározó-fontosságú,
a fenti-célzatú kutatásokat is alapvetően gátló tényezőkre, amelyek d)
bevethetőségét ad abszurdum
ellehetetlenítik.
α) A Szennyvízipar léte, valamint az ennek
igénybevételére bazírozó vízhasználati-elrendezés alapvetően determinálja hogy
a d)
szerinti kísérletek lefolytatásához szükséges alapanyag még csak ne is
képződhessen. Mivel a Szennyvízipar
károkozásai igen sokrétűek, célzatos és erőteljes intézkedésekre lenne szükség
az egész vertikumot probléma-mentességgel helyettesítő Vízgazdai-elvű elrendezésekre történő áttérésre.
Amit az is diktál, hogy enélkül
veszélyeztetetté válik a hazai-vízgazdálkodás nagybani-átalakítása[42]: hiszen a
szélesebb árterűre hagyott és szakaszolásokkal lelassított vízáramú folyók
víztereiben felgyorsuló eutreofizációhoz vezetne a szennyvíztisztító-telepek
végvizeinek az élővizekbe-bocsátási gyakorlata.
ω) Kívánatos
továbbá a kárhozatos-következményeken túl csupán pénz- és energia-faló Szennyvízipart monopol-helyzetben tartó Törvényi-háttér (és apparátus)
felszámolása. Ezek gúzsba kötnek a területen minden megújulási-kezdeményezést,
s szavuk se szabadna hogy legyen ott, ahol előírásaik homlokegyenest szemben-állnak
mind a tapasztalati-tényekkel, mind a tudományosan-megalapozott ismeretekkel.[43]
ii) Az
5-éves tartamkísérlet[44]
savanyú-homoktalaj alginit-adagolásos termékenység-javítására pedig a totális-kudarcnak is elsőrangú
szemléltetője lehet.
Már amennyiben valaki veszi a fáradságot ahhoz, hogy a dolgozatban
széttagoltan-elhelyezett adatokat egymás közelségébe hozva tegye nyilvánvalóvá
azt, amin különben átsiklana a felületes-szemlélő (a lektort is
beleértve).
A tritikálé terméshozam-alakulását, N-fejtrágyázással
kombináltan szemlélteti az adat-összetereléssel képzett 12. Táblázat.
[N.B.: A szokásos „normális” termésátlag, hazánk
megfelelő-talajain: 3-4 t/ha.]
12.
Táblázat: Alginit „termés-növelő” hatása
(kontroll-kísérlet mellett)
Aki lát benne
vagy kihámoz belőle bármi értéket – túl azon hogy akár
áfonya-termesztésre is alkalmas savanyú [mész-szegény]
talajt tettek hatalmas-költségekkel erre alkalmatlanná – az jelezze
ezt.
iii) A talaj
folyamataiban való elementáris tájékozatlanságra
bizonyítékul szolgálhatnak ezek a sorok: „Vannak, akik
visszafordítanák a történelem kerekét a középkorba, dogmatikus, műtrágyaellenes
„biológiai” irányzatot képviselve. Elutasítva a műtrágyát, annak minden
formáját. A szerves trágyák azonban nem csodaszerek, a növény ásványi elemekkel
táplálkozik. Az istállótrágya is ásványi összetevőkre
bomlik a talajban, hogy a növény hasznosíthassa”, amelyek a Magyar
Tudomány 2013. évi számát ékesítik.[45]
S hogy e közlés nem véletlenszerű
elszólás, annak lenyomata az ugyanekkorról származó többszáz-oldalas mű[46],
amelynek tétova-összevisszaságát másutt már aprólékosabban bemutattam.[47]
a) Mi
történik szántáskor?
i) A talajforgatással járó, hosszasan-kialakított
otthonossági-állapotok borulásával a talaj-mikrobiom életfeltételei
kedvezőtlenebbre fordulnak: emiatt populációjuk csökken. A fogyatkozó mikrobiom
kevesebb élet-anyagot képes lebontani (Set:bomló
mennyisége csökken), miáltal a humusz-épülés induló-folyamatai lelassulnak.
Kevesebb mikrobiom kevesebbet is fogyaszt (Set:avt
mennyisége is csökken), tovább korlátozva ezzel a humusz-építés intenzitását.
ii) A
talaj-mikrobiom fogyásához hozzájárul a szántást követő mezítelen és levegős
talaj-réteg erőteljes vízvesztése, miáltal az ottani parányok „megaszalódnak” [ld. IV.)C.)3.)c)
alatt].
iii) A
stagnáló humusz-anyag mennyiségének a csökkenésével, és az értéktelenedésével
is lehet számolni. A strukturált szénvázas-molekulák időbeli-stabilitása
ugyanis véges. Azok nem csupán a mikroorganizmusok által bomlanak, de
anorganikus-behatások is képesek bennük bontó/leépítő-folyamatokat előidézni.
Egyike ezeknek a dekarboxileződés,
amelyet ásványi-konglomerátumok és a talajfelszín-közeli
időjárási-tényezők együttese siettethetnek. A dekarboxileződés hatása kétrétű:
általa a humusz C-atomot veszít (CO2 formájában), valamint funkcionálisan szegényebbé válik (eltűnik egy
kelációra/egyébre alkalmas karboxil-funkció [-COOH csoport]).
b) Mi
történik műtrágyázáskor?
i) A humusz struktúrája „összeesik”. A talaj
víztartalmának laza de még biztonságos megkötéséért felelős H-hidak nem-csekély hányada eltűnik amikor
a lokációban lezajlik a H+/M+ csere, amiatt mert a műtrágya anorganikus
kationjai erősebben kötődnek ugyanazokhoz a lokációkhoz. Ezáltal, a víz zömét
már csak a H-hídnál lényegesen
gyengébb Van der Waals erők tartják
(ideig-óráig) a humuszban: elpárolgásuk alig akadályozott, miáltal a humusz
„ropogós kétszersült” állapotúvá válik. A víz távozása azonban nemcsak a humusz
kiszáradását eredményezi. A víz (H-O-H) két-irányba szolgáló H-atomjai
révén egyben struktúrát is rögzített. Ami pedig hatalmas változásokat szenved a
H-hidak nagymértékű megbontásával, midőn
a (monstre-molekula részeit összekapcsoló) híd
helyett a humusz-ligandum felé egy-foggal rögzülő kation ott „végállomást” hoz
létre. A híd-szerkezetek megszűnésével az immár összekötetlen
molekula-részletek szabad-rotációs lehetőségei megnövekednek, a H-hidakkal
fixált szerkezet üregei [pl. víz és oxigén tárolására] eltűnnek. Röviden: a humusz szerkezete összeomlik.
ii) Az
összeomlott-szerkezetű humusz már nem képes a táp- és nyom-elemek forgalmának a
feladatát ellátni: az üregek eltűnésével lecsökken az átjárhatósága, a
potenciális kelációs-helyek zöme emiatt elérhetetlenné válik.
iii) A
„kétszersültté” váló humusz a mikrobiom számára már nem komfortos élettér. Nem
temperál, és nem olt szomjat – mert víz szinte sehol. (Olyasmi ez
számukra, mintha nekünk tengervíz-sűrítmény pasztilla adná az ital egyedüli
kínálatát.) Nem csoda, ha emiatt a számuk erősen
megcsappan. A talaj-mikrobiom mennyiségi és vitalitásbeli csökkenése
következménye a humusz-építés felszámolódására ill. erodálódására pedig már
ismert.
c) Mi
történik trágya-kihordáskor?
Az állati-szervezetek emésztési
végtermékeit képező anyagok javarészt organikus-természetűek. Ezen salakanyagok
egyik része szénvázas-vegyületek változatos molekuláinak a halmaza, amely
azonnali tápanyag-forrás lehet a talaj-mikrobiom számára. A salakanyag másik,
nem-jelentéktelen hányadát az állatok belsejében, velük szimbiózisban munkáló
mikroorganizmusok (szervezeti-mikrobiom)
adják. Ezek, a talajra kerülve, részint (áldozatként) táplálékul szolgálnak a
talaj-mikrobiomnak, részint megfrissítik a talaj-mikrobiom közösséget.*
* Az élő
mikro-kozmosz eme átjárhatósága adja a fedezetet ahhoz, hogy az életformák
magasabbra szerveződhettek. Ha nem így lenne, a „semmiből-megkonstruált”
bonyolultabb létformáknak [így nekünk, embereknek is] egyedi véd-rendszert
kellene kifejleszteniük, külön-külön minden már-létező mikro-élőlény
támadásaival szemben. Éppen ezt a feladatot látják el (immunrendszerünkként)
azok a mikrobiomok, amelyek kívülről épültek a szervezeteinkbe, s azzal
együttműködve védik azt, már meglevő tulajdonságaik és képességeik által.
Ekként, mindkét ürülék-alkotó – az
említett funkcióikon keresztül – nagyban előmozdítólag hat mind a talajéletre
mind a humusz-képződésre. Fontos kiemelni még: Káros hatások nélkül.
d) Mi
történik alom-komposzt kihordásakor?
Mivel az alomkomposzt előállításából
adódik, hogy az alkalmazott vegyes növényi-alom mellett abban fajlagosan
kevesebb a trágya, így a felszínes-megítélés azt sugallja hogy a c)
alatti tényezők súly-szerinti eltolódásán túl egyébbel nem kell számolni – azok
pedig a 100%-os trágya esetén kedvezőbbek.
A valóság azonban ennél jóval bonyolultabb:
i) A
mezítelen trágya értékes-részeinek nem-jelentéktelen hányada viszonylag könnyen
és spontán mineralizálódhat. Például a vizelet karbamidja (a vizeletben-levő enzim által) a szabadba kerülve rövidesen ammóniává alakul, ami több úton is gyors nitrogén-vesztéshez vezet.
Mert az NH3:
·
illékony,
·
viszonylag mobilis a talajban (vízzel lefele
mosódik),
·
bizonyos feltételek mellett nitráttá oxidálódik (ami még-gyorsabban mosódik lefele),
·
vagy éppen denitrifikációs baktériumok által inert N2
gázként a légkörbe távozik.
Hasonlóképp, a hasznosulást csökkentő,
jelentékeny foszfor-veszteségek is előállnak. Az alomkomposzthoz vezető úton azonban a fenti folyamatoknak riválisai
akadnak: a vizelet karbamidja pl. azelőtt kötődik meg kémiailag a növényi-alom
molekulái aktív-helyein, mielőtt NH3-vá alakulna. Ez nem
csupán a N-veszteséget szorítja jóval kisebbre, de ez egyben komoly
előrevivő lépés a humusz-építésben is.
A humusz ilyetén kezdeti-kiépülése az
alomkomposztálódáskor felületes-értelmezésben azt jelenthetné, hogy ezáltal
kevesebb közvetlenül-emészthető tápanyaghoz fog jutni a talaj-mikrobiom. A
hevenyészett kalkulus azonban elhibázott, ugyanis az alomkomposzt össztömege
többszöröse az ürülék tömegének: a szokványosan alkalmazott arány 2:1 és 5:1
közé tehető, a növényi-alom javára. Így a humuszképződés előrehaladása mellett
is több primer emészthető-anyag kerül az alomkomposzttal a talajba, mint a
100%-os trágyával.
ii) Mind a
tápértéket mind a kialakuló humuszt előnyösen befolyásolja ha az ürülék
emberi-eredetű. A mindenevő-élőlény
salakanyaga ugyanis gazdagabb a N és P tartalmú összetevőkben
mint a kizárólag zöld-táplálékot fogyasztó élőlényeké.
iii) A még
félérett alomkomposzt is jóval szellősebb-szerkezetű a friss trágya-ürüléknél.
Így sokkalta jobban szolgálja a talaj víz- és oxigén-tározási szükségleteit –
addig is, amíg a humufikálódása zajlik.
iv) Az
alomkomposzt képződésekor uralkodó feltételek különlegesek. Sokszorta
intenzívebb és erőteljesebb a komposzt-dombban az élet; ami azt eredményezi
hogy a belekerülő nemkívánatos [Természet-idegen] molekulák még ott helyben lebomlanak.[48]
v) Az
alomkomposzt erőteljesebben frissíti a talaj-mikrobiomot. A komposztálódás
közben ugyanis a szervezeti-mikrobiom
szabadban is létképesebb alanyai könnyedén és jelentősen felszaporodhatnak a
szabadban gyengébben-boldoguló társaik rovására. [Ekként „fertőtlenítődik” pl. a kaka E.Coli-ja az alomkomposztban.] Az alomkomposzt talajra-kerülésekor ez a
felszaporodott ellenállóbb (két-szerepkörben
is aktív) mikrobiom-közösség jelentékeny-tényező
és egyenrangú-partner a talajban végzendő munkához.
5.) A dolgok (végletes) kiszámíthatatlansága
Az Átnézeti
Tabló-ban [IV.)B.)1.)] már
felbukkantak félreérthetetlen jelzések arra nézve, mintha a talaj-folyamatok
kiismerhetőségének lennének korlátai. Nem csupán arról van szó, hogy a
tudás-felhalmozás elején tart a terület kutatása [ld. ott, i)], de a hatalmas potenciális diverzitás [ld. ii)] kifejezetten elnapolólag hat a felzárkózásra. Bonyolítja
a helyzetet a parányi-változásokra bekövetkező jelentős-felfordulás [ld. iii)], amit megtalpalnak a közeli-lokalitásokban
könnyűszerrel előálló óriási pH ill.
egyensúlyi-különbségek [ld. iv)], tetézve
mindezt dinamikus-változásokkal [ld. v)] – hogy ne soroljam tovább a már tárgyaltakat.
Ezen tényezők közül egyet is óriási
bravúr lenne nyakoncsípni, s pőrén, minden-oldaláról bemutatni – nemhogy a
kapcsolatok totális-összefonódottságát analitikusan feltárni. Hogy ez valóban
így áll, érzékeltetni fogom a kelációs-viszonyok tisztázása előtt tornyosuló
akadályokkal.
a)
Számoljuk előszöris össze, vajon hányféle különböző
szerkezeti-részlettel kellene foglalkozni, amennyiben csupán 20-féle
kémiai-elem jelenlétével számolunk és 3 db kelációs-hely (A, B, C) kínálja magát?
Mivel a 3 db lokáció értelemszerűen
különböző, mono-keláció mindhárom
pozícióban 20-féle alakulhat ki, ami összesen 3*20 db. Di-kelatált szerkezet (ahol tehát 2 db kelát-struktúra alakul
ki a lehetséges háromból) 3-féleképpen
állhat elő (A&B, A&C, B&C),
mindegyik esetben mindkét-pozícióban egymástól-függetlenül 20-féle iont
rögzítve, ami 3*20*20 db különböző esetet tesz ki. Tri-kelatált szerkezetből pedig 20*20*20 féle képződhet, annak
megfelelően hogy mindhárom-pozícióba kötődhet bármelyik a 20-féle elemből.
Olyan szerkezet esetében ahol n db kelációs-kötődésre adódik mód,
a lehetséges szerkezetek száma (L
Ez n=2 esetre 440, n=3-ra 9260, n=4-re közel 200 ezer, n=5-re pedig több mint 4 millió lehetséges fém-kelatált szerkezetet jelent.
b) A
lehetőség persze nem azonos a megvalósulással, így az n=5
kelációs-helyre kalkulálható 4 millió fölötti lehetőség mögött meglehet hogy
csupán 100 ezer megvalósuló szerkezet áll. De hogy éppen melyek azok, azt
bizony a 4 millió lehetőség közül kell igencsak fáintos analitikai-vizsgálatokkal
kideríteni – s ez nem teszi csöppet sem egyszerűbbé a szembesülést a 4 millió
esettel.
Hogy legyen a szenvtelen kombinatorikán
túl némi kémia is a dolog mögött, választottam egy közepes-méretű molekulát abból a kínálatból, ami reprezentánsként
humusz-tárgykörben az interneten előásható: ld. 40. a) ábra.
40. ábra
A vegyületet 13 db funkciós-csoport
teszi mozgalmassá. E reaktív hekyek közül 7 db savi-jellegű (-COOH),
4 db [szintén
könnyebben-disszociáló protonnal bíró] fenolos-OH,
1 db alkoholos-OH, 1 db pedig oxo (>C=O).
A könnyűszerrel kialakulható 5 db kelációs-helyet az 1-5 számozott
nyilak jelzik a 40. b) ábrán; ezek
mindegyike 6-tagú gyűrűben tartja fogva az adott fém-iont, mely gyűrűk javarészben
inkább planáris-alkatúak.
Ha elidőzünk kissé a szerkezetet
szemlélve, megállapíthatjuk hogy mind az öt kelációs-pozíció nemcsak a
sztérikus-faktorban különbözik egymástól, de a kelátba-fogott fém-ionokra ható
elektronikus-környezet is rendre eltérő.
i) Az 1 és 2 helyzetet alakító elektron-eloszlás amiatt más,
mert 1
-COOH
ligandumát a benzolgyűrű átellenes C-atomján levő fenolos-OH
elektron-donor O-atomja (a benzolgyűrű p elektron-szextettjén
keresztül) a delokalizáció kiterjesztésével
energetikailag befolyásolja, míg 2 -COOH liganduma hasonló támogatást
nem kap: a benzolgyűrűn vele-átellenes -CH3 csoport ugyanis nem
elektron-donor.
ii) A 3 és 4 pozíciók egymáshoz rendkívül hasonlónak tűnnek,
amennyiben a kelát-gyűrűket kialakító két ligandum teljességgel szimmetrikus a s1 kötés tengelyére, amely körüli szabad-rotáció a
tükörképi 3
és 4
kelát-gyűrűket 180o-os elfordulás esetén felcserélt-helyzetbe is
hozza. Amennyiben ehhez társulna a molekula kisebbik részének a 90o-os
elfordulása a s1 kötéssel
átellenes s2 kötés körül, úgy akár ténylegesen
szimmetrikus-helyzetűvé válhat a 3 és a 4 pozíció, a s1 kötés körüli 90o-os elfordulással.
Ennél a konformernél azonban létezik stabilabb, éspedig az amelyikben kialakul
a 7
pozícióban egy H-híd. Ezzel viszont
nemcsak a szerkezet rögzül (bizonyos-fokig), de a 4
pozíció immár energetikailag is különbözni fog 3-tól.
iii) Az 5 pozíció pedig teljességgel más mint az összes
előző. Nemcsak annyiban hogy az itteni savi-funkció aromás helyett alifás,
hanem abban is hogy a kelát-gyűrű egyik-fogát adó oxo-ligandum b-helyzetű a másik-fogat adó -COOH csoporthoz képest,
ami az a-pozíciójú H-atom könnyített
enolizációját vonja maga után. Ez pedig – a savi proton-vesztést követő enolát
képződéssel kialakuló mono- ill. di-anion révén módot kínálhat akár
3-féle oxidációs-állapotú fém-ion befogására is: ld. 40. ábra b),
c),
d).
Az hogy a 6 pozíció létrejön-e, és ott
vajon H-atom rögzíti a szerkezetet H-hidak által (amivel az 1 és 2 kelatált-helyzetek különböző volta fokozódik), avagy egy újabb fém-ion számára alakul ki a hatodik kelát-csapda, már csak
jelzésértékű figyelmeztetés arra nézve, hogy a molekula teljes
konformációs-analízise még bőven feltárhat a helyzetet tovább-bonyolító
elrendeződéseket.
c) Ha egy hangyányival nagyobb molekulát választunk a
humusz részleteit bemutató reprezentáns képletek sorából (41.ábra), akkor
további felderítési-nehézségekkel számolhatunk, már a konformációs-elemzés
során is.
41. ábra
A középen álló hexóz-lánc, mint tudjuk, a valóságban ciklusos fél-acetálként van
jelen, amely akár piranóz akár furanóz alkatban a legkülönfélébb kelációs-elrendeződésekre
kínál módot az egymással-szomszédos -OH szubsztituensei révén, akár mutarotációt követően is. Ehhez
járulhatnak még azok a bonyodalmak, amelyek a rotációra-alkalmas s kötések
körüli elforgásokkal a molekula aromás-részletein levő funkciós-csoportokat a
ciklusos fél-acetál funkciós-csoportjainak a térbeli-közelségébe hozzák. Az ily
módon kínálkozó esetleges/bonyolultabb kelációs-struktúráknak már a papíron-történő
hipotetikus-elemzései is jószerivel áttekinthetetlenek. Ezeket kellene azután
nagy-műgonddal egyedileg követni a valós-vizsgálatok során, figyelemmel a
történések dinamizmusára, a szubtilis-kölcsönhatások módosító/borító
képességeivel egyetemben.
d) S ha
mindez megvan, jöhetnek a fogósabb feladványok. Mint ugyanezeket végrehajtani,
szőrszálhasogató precizitással, mind a kvadribilliót ugyanennyiszer felülmúló
számú esetre, az alábbi képletekre vonatkozóan:
|
a)
|
b) |
42. ábra:
a) Ahol a szerkezet túlnyomó-hányadát lebontott és modifikált lignin-részletek képezik;
b):
Ahol színesítésképpen különféle-állapotú S és N donor-atomok is
szolgálnak.
43. ábra: Ahol szénhidrát-polimerek fragmensei teszik változatosabbá az összképet.
44. ábra: Ahol kacifántos összevisszasággal
ereszti szabadjára a képzeletét a „képlet” kiötlője.
Jelezve hogy a humusz összetétele nem-feltétlenül molekulába-szervezett:
· ahol 3 db
nagyobb összetevő mindössze H-hidas
kapcsolódások esetlegességével rögzül egymás közelségében;
· amely
zárványokként tartalmaz
o kisebb
molekulákat: kovasavat [Si(OH)4], aminosavat [glicin-aniont: NH2CH2COO–], vizet [H2O],
vashidroxidot [Fe(OH)2],
o és (mobil ill.
kelatált) ionokat: Fe2+, K+, hidratált alumínium [Al(OH)2+]
· miközben (itt
jobbára) elektrosztatikus-erőkkel kapaszkodik bele az ásványi-hordozó
felületének az alumínium-szilikát szerkezetébe.
Csoda-e a fentiek fényében, ha a tudóskodás felsőbb-szintjén a
humusz-felderítés avatott zsonglőrei az összetettségek mélységeinek a
megvilágítására az 45. ábrához
hasonlókat szülnek?
Ha
szabad összegeznem: Na, ezzel a tudománnyal
baromira kint vagyunk a vízből.
V.) Megoldások:
Láttuk: a Föld 4,5 milliárd éves léte óta
szakadatlanul-zajló különféle geológiai-folyamatok mára biztosították a
kémiai-elemek nagyfokú szétterjedését.
·
Igen-ritka az a terület amely pl. a vitális
nyomelemekben abszolút-hiányt szenvedne.[50]
·
És ma is hatnak erők amelyek a kimerülés ellen,
az elemek szétszóratásán dolgoznak[51]:
tűzhányók messze-terjedő hamuja; sivatagi porviharok amelyek átjutnak az
óceánon is.
Láttuk: akár a kőzetek erodálatlan anyagaiból is képes az
élővilág direkt-módon feltárni a számára szükséges kémiai-elemeket.
Láttuk: a tápelem-ellátás szélesebb-biztosításában a humusznak
óriási a szerepe.
Láttuk: a humuszképzésben meghatározó-szerepe van a talajlakó
mikroorganizmusoknak.
Megértethettük: ha a fentiek mind a helyükön vannak, akkor
működik a talaj: szolgálja és élteti az élővilágot; nincs talaj-pusztulás és
velejáró vízháztartási-gondok, nincs humusz-degradáció és talajélet-csökkenés,
nincs nyomelem-denudáció.
Érzékeltetni próbáltam, mely közbeavatkozásaink azok amelyek
a leginkább borítólag hatnak a működésre: szántás, műtrágyázás.
Több ízben utaltam közbevetésekkel arra is, hogy a humusz–mikrobiom–ürülék
összefonódottsága nem véletlenszerű; s hogy ennek megértése nélkül bárminő
beavatkozás mely ezek sorsára kihat, irdatlan felelősséggel jár.
Emiatt, a dolgoknak
erre a szűkebb-metszetére, alább egy összegző-ismétléssel nyomatékosan kell
felhívjam a figyelmet: Ebben rejlik ugyanis nemcsak a vágyott fenntarthatóság,
de az elrontott-dolgok korrigálásának a lehetősége is. Röviden: ennek betartása
és követő gyakorlata A
Megoldás. Ennek megértése nélkül „elúszik a hajó”, akármi jót is
akar, és akárhány-diplomás is a kapitánya.
F A
vándorló [szabadon
kószáló] állatok és a nomád-közösségek által elpotyogtatott ürülék
gardírozásának az elmaradása összeegyeztethető a Természet járásával:
jut idő bőven az „összeszart-terület” automatikus
biológiai feldolgozására.
F A
helyhez-kötött életmód azonban diktálja a teendőket: nem élhetünk a szarunk
kellős közepén, valamit tenni kell vele.
F A
jelen gyakorlata (a
mega-poliszokba zsúfolódottsággal tetézve) a legrosszabb, mert [minden porcikájában]
totálisan Természet-idegen.
F A
Szennyvíztisztításnak eufemizált
szar-megsemmisítés egyrészről károk nem-várt sorozatát indította be [többek között: a vizeink
elszennyeződését[52]],
másrészről pótolhatatlan hiányt generál [a talajok tápanyagokban elszegényednek; a
raktár-szereppel bíró és a forgalmakat-koordináló humusz-tartalmuk csökken].
F Lenézett
és lebecsült szarunk a Természetbe
azzal a mesterfogással illeszthető habkönnyűen vissza, amit a
célzatos-elrendezésű komposztálás közbeiktatása nyújt.
Tehát: Az emberiség, ha maradni szeretne a helyhez-kötött életmód
mellett, köteles gondoskodni az
ürüléke ÉSSZERŰ utó-kezeléséről.
Ennek
azonban mintáznia kell a Természet
bevált útjait.
Amihez
a legközelebb esik az Alomszék[53]
és az Alomátitató-telep gyakorlata,
amelyek a Természetben-zajló hasonló-történésekhez
képest az alom-komposztálás folyamatát a többszörösére felgyorsítják. Ezek az
egyedüli-módszerek a rombolás-mentes – tehát a fenntarthatóság ígéretét nem
szépelegve hamukáló, hanem azt valóban biztosító – ürülék-kezelésre. Ahol nem
az elsőrendű diktátum a túlzásokba-eső higiénia téveszméje [a szükséges (és elegendő)
higiéniát az említett elrendezések vitán felül magukban hordozzák],
hanem az ürülékben megtestesülő hihetetlen diverzifikáltságú (emiatt rendkívül értékes)
biomassza [mint ingyen
erőforrás] talajba történő visszavezetése, hogy életerős egészségben
tartsa folyamatosan azt a talajt, amely (a rajta burjánzó növényi és állati létformákkal)
létünk alapjait biztosítja: élelmet és oxigént.
Mindezt
meg kellene érteni végre azoknak is, akiknek lövésük sincs ahhoz, hogyan is
intézi a talaj összessége molekula-szinten a dolgait [bár szeretnek innen is
onnan is belepofázni; nagyképűen konferenciázgatni róla; vagy katedrákról
tudományként leadni azt a zavaros-csekélységet amit gyorstalpalókon
nagy-nehezen agyukba felszippantottak].
S
a Természet fentebbi lekövetéséhez
akkor is ragaszkodnunk kell, ha ténylegesen és véglegesen le kell mondanunk
arról, hogy a kismilliárdnyi-vonalakon egymással összefüggő mikro-történéseket
valaha is megismerhessük tudományos-részletességgel. A Természet hosszas
evolúciós-fejlődésével kialakított rendszer és közössége működőképes:
bizonyította ezt az utóbbi 50 előtti több-száz millió év.
2021. május 24. Fuggerth Endre
[1]
A „szakadás” fogalmával és jelenségével – a föld-alatti vízbázisokból felhozott
vízzel történő öntözési-elképzelés helytelen koncepciója elemzése keretében – a
CO2
Bújócska III.)D.)3.)iv) része részletesebben foglalkozik.
[2]
Sorozatos megkereséseim egyikére váratlanul válasz érkezett az MTA felől [2018-02-05]. Igaz, többrendbeli
átirányítással. A címzett az MTA
Elnöke volt, az érdemi-válasz pedig a Földtudományok
Osztályán keresztül a Hidrológiai
Osztályközi Állandó Bizottság Elnökétől érkezett.
Részlet a levelemből:
1) Tudvalevő hogy 2016-ban
meghirdetésre került az Országos Vízprogram.
2) Nyílt titok hogy e
program nem önmagáért való, hanem súlyos problémák nyomására indult, melyek
kihívása előtt jelenleg eléggé pucéran áll.
3) E szembesülés során nem
tudhatni mikor, mire, milyen válasz lesz általa kapható. S hogy hoz-e
egyáltalán bármire is gyógyírt, felmutat-e valamilyen kívánatos, várva-várt
eredményt.
4) E bizonytalanság okán
minden felelős tényező lelkiismereti kérdésnek kell tekintse a közös sikerhez
való hozzájárulást.
5) Mint egyike ezeknek –
ráadásul prominens helyzetben – nyitóbeszédében (3:26-3:31 között) Ön is megfogalmazta, e szavakkal: „Természetes hogy céljaink eléréséhez mások támogatására is számítunk.”
E két utóbbi argumentummal összhangban,
kérem, tekintsen bele abba az anyagba, mely számos perspektívából, fókuszáltan
világít rá mind az elkerülendő tévutakra, mind a potenciális megoldásra, több
(ma problematikus) területet érintően. Mindezt nemcsak a célzott hatékonyság
érdekében, de az eseményekkel versenyt-futó időfaktor fontosságát is szem előtt
tartva.
Részlet a kapott levélből:
Köszönettel
vettük 2017. december 31. napján kelt elektronikus levelét, melyben az Országos Vízprogram céljainak elérése
érdekében, a közös sikerhez való hozzájárulásként, a Magyar Tudományos Akadémia Elnökének figyelmébe ajánlja saját,
szennyvízkezeléssel foglalkozó internetes blogját.
Az
érintett területre tekintettel a Hidrológiai
Osztályközi Állandó Bizottság áttekintette és megvizsgálta a blogban foglalt
írásokat, és azok tartalmát – kétségtelenül „közérthető”, a tudományos életben
szokatlan stílusban megfogalmazott formája ellenére – figyelemre méltónak
találta.
Az Országos Vízprogram feladatainak
megvalósítása során az Ön által szerkesztett blog tartalmát figyelemmel
kísérjük…
Függő dolgok:
1.) A
2017-es levelemben is nevesített 2016-os indítású Országos Vízprogram eredménylistája ma (2021-ben) is üres. Viszont
elindult (konkurensként?) az országos vízgazdálkodást formálni kívánó újabb
terv (VGT3), ám a hozzá hivatalosan benyújtott
elemzésemre (Terv-javaslat) eddig semmiféle reakció nem érkezett.
A „vizi-szakik” tehát
komótos nyugiban szövögetik az 5-éves terveiket, hiszen az effélék
gyakorlatának van már dokumentált múltja. De vajon miért kérnek hozzá
véleményezéseket, ha azokat el sem olvassák?
2.) Országos Talajtani-program ugyan éppen nincs, ez igaz. Probléma
a TALAJOK körül viszont legalább akkora van, mint a VÍZ körül. Hát itt áll ez a
kéretlen dolgozat – ötéves-terv ide vagy oda. Lessük az érdeklődés barométerét.
[4]
Magyar Tudomány 2020/05 (https://mersz.hu/dokumentum/matud__824
)
[5]
Szűcs Péter: Felszín alatti vizek – A hidrológiai ciklus láthatatlan része Magyar Tudomány 178. évfolyam 10.
szám 2017. október (http://www.matud.iif.hu/Ma-Tud-2017-10.pdf
)
[6]
Esővíz hasznosítás a „TELESŐ”
rendszer szerint: http://www.eautarcie.org/hu/03a.html
[7]
S ezt is túllépik. A „megfizetnek érte” viszont rendkívül félrevezető lenne. A
részletek: Egyen-Jogot
(https://utazasokavizgazdakorul.blogspot.com/p/egyen-jogot.html
)
[8]
Könyv-kézirat a fiókban – elévülésre, vagy kataklizma-szerű
érdeklődési-változásra várva.
[9]
Szilágyi János Ede–Dobos Endre–Szűcs Péter*Az öntözéses gazdálkodásról szóló
törvény a tájszemléletű vízgazdálkodás tükrében, PRO
FUTURO - A JÖVŐ NEMZEDÉKEK JOGA 10 1-22pp (2020)
DOI
10.26521/Profuturo/2020/1/7556 (https://ojs.lib.unideb.hu/profuturo/article/view/7556/7266
)
[10]
Az eredeti – de legalábbis a helyes tartalommal feltöltött – tájszemléletű vízgazdálkodás egy
gazdálkodó-geográfus, Balogh Péter
elemzéseihez és írásaihoz köthető: http://emberestisza.blogspot.com/
[11]
Nemetz Ernő: Nyomelemek szerepe a geológiában (Magyar Földtani és Geofizikai Intézet Budapest 2012)
[ISBN 978-963-671-290-7] (http://mek.oszk.hu/20200/20219/20219.pdf
)
[12]
Talajok nyomelem és ásványos összetételének vizsgálata röntgenanalitikai
módszerekkel, Horváth Tímea
(Veszprémi egyetem 2015) (https://konyvtar.uni-pannon.hu/doktori/2005/Horvath_Timea_dissertation.pdf)
[13]
Wei et al. Mobilization and re-distribution of major and trace elements during
extreme weathering of basalt in Hainan Island, South China, Geochimica et Cosmochimica Acta 71
(2007) 3223–3237pp (http://rmag.soil.msu.ru/articles/574.pdf)
[14]
József Hlavay et al. Determination of trace elements bound to soils and
sediment fractions , Pure Appl. Chem.
76,
No. 2, 415–442pp, 2004. (https://app.ingemmet.gob.pe/biblioteca/pdf/Geoq-2.pdf)
[15]
A diszparitás egy sokkoló esetét figyelmeztetéskémt ide kell idézzem.
Éveken át megbízható és stabil-jellemzőkkel bíró elmenő Szürkevizem összegyűjtött eredményei
után
[ld. pl. TREND],
kíváncsi lettem volna annak az iszapnak az összetételére is, amelyből évente
egy kevés felgyülemlik a használtvízkezelő-rendszerem fogadó-medencéje alján.
Hogy minél több konkrét megállapítást tehessek, ezúttal SOK komponensre voltam kíváncsi. A sok-komponens együttese ugyanakkor belső kényszer-összefüggésekkel
is bír. A (jóhírű) szolgáltatótól befutott eredmények ezen belső-összefüggésekre
a következő nonszenszeket adták:
1.) Az izzítási-maradék
100% – holott a mintában előzőleg 8,3%
organikus széntartalmat [TOC]
állapítottak meg (ami, a hozzá-kapcsolódó O és H atomokkal izzításkor
„elfüstöl”).
2.) Zéró [<0,1%] anorganikus széntartalmat [TIC] állapítottak meg arra a mintára
amelyben előzőleg ~38 gram K+Ca+Mg lett mérve. Minthogy ezen
kationok karbonát-formában lehetnek
jelen, ez minimum 1% TIC értéket
kellene adjon.
3.) A Ca/Si arány 0,9-nek adódott 26,200 mg Ca/289
g szárazanyag tartalom mellett. Ilyen magas Ca tartalom viszont
csakis a talajból eredhet [földes-munka utáni kézmosások]; a talajban
viszont a Si messze dominánsabb
komponens.
Ez adódik indirekt a 3.
ábrából; de a jóval korábbi talajelemzési adataimból is, amely szerint
a telkem feltalaja Ca tartalma ~2%, (vö. Magyarország talajtérképei dél-Fejérre
vonatkozó adataival is: http://airterkep.nebih.gov.hu/gis_portal/talajvedelem/pdf/LB-NA-27539-HU-N_online.pdf p47 15. ábra).
Effajta
lehetetlenségek után nehéz lenne eldönteni, melyik adat a helytálló és melyik a
téves. Alá kell tehát húzzam: A kutatás
nem váltható ki szolgáltatások
megfizetésével: előbbihez kutatói-hozzáállás és kritikus szellem kell –
utóbbihoz pedig (vállalkozás lévén) kuncsaft és szabványok.
Futó megjegyzés: Ha a Vízgazda-rendszertől
(a kétségbevonhatatlan működésén túl)
„adatokat” várnak, rendeljék hozzá a (szakszerű, célirányos) kutatás kellékeit
is.
[16]
Példák ezekre itt: http://weppi.gtk.fi/publ/foregsatlas/articles/Analysis.pdf
[17]
Concentrations of trace elements in soils: The three keys, Denis Baize, INRA,
UR2072 Science du Sol, Centre de recherche d’Orléans, France p3 (https://www.iuss.org/19th%20WCSS/Symposium/pdf/0466.pdf)
[19]
https://www.alibaba.com/showroom/ammonium-molybdate.html
(ld. ott Jinan Huijinchuan Chemical Co.,
Ltd.)
[20]
Emlékezetére: https://hu.wikipedia.org/wiki/B%C3%A9res_J%C3%B3zsef_(tud%C3%B3s)
;
polémia/értékelés+korrajz: https://qubit.hu/2020/02/07/100-eve-szuletett-a-beres-csepp-atyja-aki-ugyan-a-rak-ellenszeret-nem-fedezte-fel-de-alaposan-felkavarta-a-szocializmus-allovizet
[21]
Béres József: A malignus daganatok biológiai, biokémiai okai (Budapest, 2000) p43 (http://www.beres.ro/userfiles/files/malignus.pdf
)
[22]
TREND
: 20 db szennyvíztisztító-telep elfolyó végvizei főbb kémiai-paraméterei
kerülnek benne összevetésre a (részint talajba-szivárogtatott, részint
víz-pótlási/öntözési-célra raktározott) háztartási Szürkevíz hasonló paramétereivel – akkreditált elemzések eredményei
alapján.
[23]
Erre vonatkozóan léteznek hazai kutatási-eredmények is; ld. TMMG
III.)C.)2.)
alatt.
Egy szélesebb felmérés
adatait foglalja össze az alábbi ábra:
(forrás: https://nlc.hu/szurd_ki_cikkek/cikk/vitaminhiany-gyumolcsok-zoldsegek-kutatasok/)
Az ásványi-anyag tartalom drasztikus-csökkenése
elgondolkodtathatja a paradicsom-evőket. Plauzibilisnek tűnik az is, hogy a
kevesebb felvett ásványi-anyag kihatással bír a növény átlagos életfunkcióira
is, aminek egyenes következménye az általa előállított vitamin-jellegű
bio-aktív anyagok hasonló-mértékű csökkenése az étrendi beltartalomban.
Az adatok merev értelmezésekor azonban figyelemmel kell
lenni arra is, hogy azokban több hatás-tényező is összemosódhatott. A
„talaj-kimerülés” mellett szerepet kaphattak a beltartalmi elértéktelenedésben
a mesterségesen dizájnozott újabb fajták, de nem-kizárt a hidropóniás termesztéssel [azaz: mindennemű talaj nélkül, tápsók vizes-oldatában]
piacra-dobott hányad növekedése sem.
A degeneráció egy újabb és csiklandósabb változatát
igyekszik sugallni az a nemrégen felröppent nézet*, miszerint a megnövekedett légköri
CO2 is elindítója a növények kontraszelektált ásványi-anyag
felvételének.
* Vállalnom kell a megvetést és az ujjal-mutogatást, de nem idézem ide
a mögöttes „tudományos” publikációk hivatkozásait.
[24]
Alina Kabata-Pendias and Henryk Pendias: Trace
Elements in Soils and Plants (3rd edition, 2001 CRC Press) http://base.dnsgb.com.ua/files/book/Agriculture/Soil/Trace-Elements-in-Soils-and-Plants.pdf
[25]
Eautarcie
Országh József: A Víz és
Gazdája (2019,
Ekvilibrium) [https://www.omikk.bme.hu/
388.420]
[26]
Ld. Miskolczi Ferenc alapcikkét:
The Greenhouse Effect and the
Infrared Radiative Structure of the Earth's Atmosphere Development in Earth Science Vol.2, 2014 31-52pp
[28]
A módszer alkalmasint megnyugtatóan rendezhetné a tétova, kísérleti-stádiumú
próbálkozások közt vergődő táj-rehabilitációs erőfeszítéseket, mind a nehézfém
mind a táj-idegen szerves-eredetű szennyezők tekintetében. Ld.: HOLT-Tisza
IX.)9.)
alatt.
[29]
A növényi anyagcsere élettana, A növények ásványi táplálkozása (https://regi.tankonyvtar.hu/hu/tartalom/tamop412A/2011-0073_novenyi_anyagcsere/ch02s03.html
)
[30] Idézett-forrás: P. Adamo and P. Violante: Weathering of rock and neogenesis of minerals associated with lichen activity May 2000 Applied Clay Science 16(5):229-256 DOI:10.1016/S0169-1317(99)00056-3 (http://www.geo.mtu.edu/KeweenawGeoheritage/BlackLavas/Hunters_Point_files/AdamoViolanteAppClaySci.pdf ) Továbbiak: https://pages.mtu.edu/~raman/papers2/ChenetalCatena.pdf
[31]
Talán nem haszontalan rámutatnom, hogy a Newman-projekcióra építő,
félig-meddig gyerekjátéknak tűnő elemzések mennyire élők és hatékonyak más
kutatási-területeken is.
Egy friss cikk a sztereokémiai-szelektivitás magyarázatát éppen erre alapozza, bemutatva hogy a reakció útját megszabó un. átmeneti-állapot geometriája messzemenően preferálja az egyik-oldali beépülést egy olyan 5-tagú gyűrűbe, amely alkatát az átmeneti-állapot enol-formájából előálló (részlegesen) sík-szerkezeti elem torzítja (Figure 3. a cikkben): Conformationally Locked Pyramidality Explains the Diastereoselectivity in the Methylation of trans-Fused Butyrolactones, D. Csókás, J. H. Siitonen, P. M. Pihko*, and I. Pápai*, Org. Lett. 2020, 22, pp4597–4601 (https://pubs.acs.org/doi/10.1021/acs.orglett.0c01008 , https://doi.org/10.1021/acs.orglett.0c01008 )
[33]
I. Shweky, A. Bino, D. P. Goldberg, and S. J. Lippard: Syntheses, Structures,
and Magnetic Properties of Two Dinuclear Iron(III) Citrate Complexes, Inorg. Chem. 1994, 33, 5161–5162pp (https://doi.org/10.1021/ic00101a001
) (https://pubs.acs.org/doi/abs/10.1021/ic00101a001#
)
[34]
Hao, X., Wei, Y. & Zhang, S. Synthesis, crystal structure and magnetic
property of a binuclear iron(III) citrate complex. Transition Metal Chemistry 26, 384–387pp (2001). (https://doi.org/10.1023/A:1011055306645
) (https://link.springer.com/article/10.1023/A:1011055306645
)
[35]
Carbohydrate-Metal Complexes:
Structural Chemistry of Stable Solution Species, Thorsten Allscher, Peter Klüfers*,
Peter Mayer (http://www.chemie.uni-muenchen.de/ac/kluefers/homepage/publ_pdf/2008_review_glycoscience.pdf
)
[36]
S. J. N. Burgmayer and E. I. Stiefel, Reactions of molybdate with
dithiothreitol. Structure of [TEA]2[Mo2O5dtt], Inorg. Chem. 1988, 27,
2518–2521pp (https://doi.org/10.1021/ic00287a029
) (https://pubs.acs.org/doi/abs/10.1021/ic00287a029
)
[37]
Angyal, S. J. (1973). Complex Formation Between Sugars And Metal
Ions. Carbohydrate Chemistry–VI, 131–146pp. (https://doi.org/10.1016/B978-0-408-70525-7.50005-7
, ill. https://doi.org/10.1351/pac197335020131
, https://www.sciencedirect.com/science/article/pii/B9780408705257500057
)
[38]
Carbohydrates and Related
Compounds as Ligands: Complexes and Applications, Karen M. Koczaja Literature
Seminar October 14, 1993 (https://chemistry.illinois.edu/system/files/inline-files/Koczaja.pdf
)
[39]
Angyal, S. J. (1989). Complexes
of Metal Cations with Carbohydrates in Solution. Advances in Carbohydrate Chemistry
and Biochemistry Vol. 47, 1–43. (https://doi.org/10.1016/S0065-2318(08)60411-4 , https://www.sciencedirect.com/science/article/abs/pii/S0065231808604114
)
A stabilitási-konstansról:
„The determination of the stability
constants of cation - sugar complexes has not been wholly satisfactory. The
constants being comparatively small, their accurate determination is difficult.
The activities of the ions cannot be neglected at the high concentrations
required for complex-formation, but the activities of the complex cations are
not known and, therefore, concentrations, rather than activities, have been
used in calculating the “stability constants.” There is also the question of
the stoichiometry of the complexes.”
Szóval,
még a sztöchiometriai-viszonyok is
kérdésesek… Van még (egyéb) kérdés [a dolgok kiismerhetősége
körül]?
[40]
The Principles of Humic Substances, MacCarthy, Patrick, Soil Science: 2001 –
Vol. 166
738-751pp (https://doi.org/10.1039/9781847551085-00019)
[41]
Kádár Imre: A Főbb Szennyező Mikroelemek
Környezeti Hatása (MTA ATK
Talajtani és Agrokémiai Intézet, Budapest, 2012)
(https://www.mta-taki.hu/sites/all/files/dokumentumok/17_ki_szennyezo_mikroelemek.pdf
)
„évente alaptrágyázást végeztünk 100–100–100 kg/ha N, P2O5 és K2O
hatóanyag adagolásával ammónium-nitrát, szuperfoszfát
és kálisó formájában. A P- és K-műtrágyákat, valamint a N-műtrágya felét ősszel
szántás előtt ” (p15)
[42]
Nagyobb helyet is kaphatnának az illető ma is aktuális intései.
Ide csupán néhány megállapítását idézem, amelyek szegről-végről kapcsosak az
itteni felvetésekkel:
[Forrás: Nagy
Bálint írásai]
Talajról és
tápanyag-forgalomról:
·
„A tápanyag-felvétel pontos talaj- és
növényfiziológiai összefüggéseit, a foto- és szerves szintézis önkormányzását
nem ismerjük.”
·
„A Keszthelyi Georgikon Napokon elhangzott
megállapítás – amely szerint a talajtermékenységet kizárólag műtrágyára
alapozva, szervestrágya nélkül is fokozhatjuk…– csak abban a vonatkozásban
helytálló, hogy tényleg meg lehet tenni.”
·
„A talajt elemezhető minerális közegként
kezeljük. Vagyis krematóriumi hamun mérünk, pl. magnéziumszintet. (Nem vagyok
benne biztos, hogy az akadémiai agrárgazdaságtan és talajtan minden fontos
tényezője a mai napig elért e felismerésekig.)”
·
„A talaj szerves anyag tartalma, mint talaj pH
egyensúlyi tényező, valamint a talaj vízháztartásában, tápanyag tároló és
tápanyag leadó képességének fokozásában alapvető szerepet játszó fő agrokémiai
tényezőnek a jelentősége, messze nagyobb a benne levő tápanyagok értékénél, és
jelentős szerepet játszhat a talaj potenciális termőképességének fokozásában.”
A talajéletet biztosító VÍZ
szerepéről:
·
„a vízgazdálkodás megoldatlanságából származó
klímahatás a magyar mezőgazdaság leginkább kockázatnövelő tényezője. Ezért agrárstratégiai tekintetben minden más
feladatot megelőz.”
·
„Elemzéseink egyik perdöntő megállapítása az
volt, hogy a csapadékingadozásból származó terméskiesések jelentősen
meghaladják az öntözött területek által biztosított pozitív eredményeket.
A „biomassza” szerepéről,
elkótyavetyélése veszélyeiről:
·
„A biológiai körforgása folytatólagosságának
áthidalhatatlan megszakadása a biotóp egész rendszerének kiszámíthatatlan
deformációját, a rendszer összeomlását, kaotikus részfolyamatokra való
szétesését okozhatja. Ilyen következményekkel járhat az elsődleges (növényi)
tápanyagformák nagy tömegének a körforgásból való kivonása, de különösen a
hőenergiává történő közvetlen visszaalakítása.”
[44]
S az említettek mellett az idevonazkozó törvények messzemenően disszonánsak
társadalmi alapértékekkel, de a jog-szerkezet több szintjén is kibékíthetetlen
belső-ellenmodást generálnak, miközben a logikai-felépítésük olyannyira
megbízható mint a víztározó-képessége annak a vödörnek amelynek hiányzik az
alja. Ld.: T/Örvény
[45]
Ragályi Péter, Kádár Imre†, Csathó Péter, Murányi Attila, Radimszky László,
Gajdó Anna: Gércei Alginit Ötéves
Tartamhatása Savanyú Homoktalaj Termékenységére (MTA Agrártudományi Kutatóközpont, Martonvásár Alginit Kft.,
Budapest 2019 ISBN 978-963-8351-46-3)
(http://real.mtak.hu/101661/1/Alginitk%C3%B6nyv-2012_2016.pdf
)
[46]
Kádár Imre Justus Von Liebig (200.
évforulós) méltatása kapcsán: Magyar
Tudomány 2013. 11. szám
1369-1379pp (http://www.matud.iif.hu/2013/11/13.htm
)
[47]
Kádár Imre: Szennyvizek, Iszapok,
Komposztok, Szervestrágyák a Talajtermékenység Szolgálatában
(MTA ATK Talajtani és Agrokémiai Intézet
Budapest, 2013. ISBN 978-963-89041-9-5)
(online: https://www.mta-taki.hu/sites/all/files/dokumentumok/szervestragyak.pdf
)
[50] Study of the structural organization of humic
nanocolloids, by Abdul Amir Chaaban (2017
Doctorat de L’université de Toulouse) (https://tel.archives-ouvertes.fr/tel-01532223/document
)
[51]
Ritka kivételek persze akadnak.
Az egyik kellően regisztrált/dokumentált eset
(https://www.britannica.com/science/chemical-element/Soils )
„On a large area in the North Island of New Zealand,
for example, although it grew satisfactory pasture, sheep and cattle failed to
thrive and eventually died if not removed. As a result, much of this area was
given over to afforestation. It was eventually discovered that cobalt, in the amount of a few parts per
million, would completely eliminate the disease when applied in
fertilizer or administered directly to the animals.
The ultimate explanation is the need of animals (but not plants) for vitamin B12, which contains an atom of cobalt in its structure.”
Röviden: ÚjZéland
északi-szigetének nagy területe Co hiányos. Ez ugyan nem gátja az
üde zöldellő legelőknek, de a rajta legelésző állatok (juh, tehén) mind
megsínylik. Ugyanis Co nélkül nem épülhet fel a B12
vitamin – ami nélkül a fű ugyan megél, de az állatok elpusztulnak. Néhány
ppm Co
adagolása (akár a talajra, akár a takarmányba) azonnal megoldotta a problémát.
Magára a hiány-jelenségre magyarázat lehet ÚjZéland viszonylagos izoláltsága – hozzávéve azt is, hogy relatíve
új szárazulat.
[52]
Mi több, a szétszóratás igen-régóta [százmillió évek] tart, és folyamatos.
Ezekből adódik,
hogy a
mikro-elemek széthordása igencsak alapos lehet mára.
Ezt igazolja nagyjából az a tény is,
hogy szinte bármilyen évelő faj (ha nagyjából azonos
klimatikus-viszonyokat biztosítva) a legtávolabbi helyre is transzplantáljuk,
ott életképesen fejlődik. Azaz: az eredeti termőhelyéhez evolúciósan igazodott
enzimatikus-struktúrája megtalálja az új helyén is a felépítéséhez/működéséhez
szükséges mikroelemeket is. Ld.: kopasz-kivi
fajták Kína/Mandzsúria különböző tájairól; „Szibériai-mézbogyó”
Kamcsatkáról; „Virginiai-szilva” és „Paw-paw” Észak-Amerika régióiból – s mind-mind megél/terem
a hazai kertemben is.
N.B.: Próbakőként azért bátorkodtam
korlátozni az érv alátámasztását az évelőkre szorítkozva, mert (az
egynyári veteményekhez képest) ezeknél az egyedfejlődés lassúbb, az évek
hatásai kiegyenlítettebbek, valamint a gyökér feltáró-mechanizmusainak van
módjuk javítani ezalatt az eredetileg esetleg elégtelen ásvány-feltáró
szimbióta-állapotokon.
[53]
Fuggerth Endre: Szenny és Víz
(2018, ISBN 978-615-00-3258-0 [https://www.omikk.bme.hu/ 425.015])
[54]
Az Alomszék bemutatása (videó, Országh prof. hang-alámondásával): https://www.youtube.com/watch?v=JWlibBkaA-I
Szövegbe
(és a VÍZGAZDA-renszerbe) ágyazottan:
http://www.eautarcie.org/hu/05a.html




































































Nincsenek megjegyzések:
Megjegyzés küldése